Крупнейшая бесплатная информационно-справочная система онлайн доступа к полному собранию технических нормативно-правовых актов РФ. Огромная база технических нормативов (более 150 тысяч документов) и полное собрание национальных стандартов, аутентичное официальной базе Госстандарта. GOSTRF.com - это более 1 Терабайта бесплатной технической информации для всех пользователей интернета. Все электронные копии представленных здесь документов могут распространяться без каких-либо ограничений. Поощряется распространение информации с этого сайта на любых других ресурсах. Каждый человек имеет право на неограниченный доступ к этим документам! Каждый человек имеет право на знание требований, изложенных в данных нормативно-правовых актах!

  


 

ГОСТ Р 51317.4.30-2008

Электрическая энергия. Совместимость технических средств электромагнитная. Методы измерений показателей качества электрической энергии

Обозначение:ГОСТ Р 51317.4.30-2008
Текущий статус документа: действующий
Название документа рус.:Электрическая энергия. Совместимость технических средств электромагнитная. Методы измерений показателей качества электрической энергии
Название документа англ.:Electric energy. Electromagnetic compatibility of technical equipment. Power quality measurement methods
Дата актуализации текста:01.12.2013
Дата издания:28.10.2009
Дата введения:01.01.2010
Дата последнего изменения:21.11.2013
Дата окончания срока действия:01.01.2014
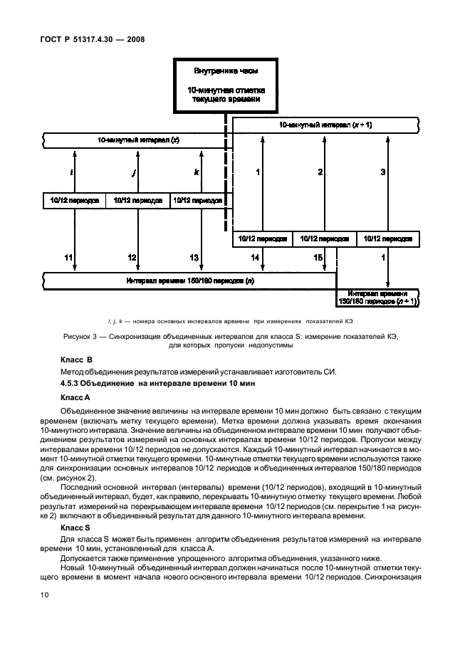
Область применения:Настоящий стандарт устанавливает методы измерений показателей качества электрической энергии в электрических сетях систем электроснабжения переменного трехфазного и однофазного тока частотой 50 / 60 Гц и порядок оценки результатов измерений.
Настоящий стандарт применяют при измерениях показателей качества электрической энергии в электрических сетях:
- систем электроснабжения общего назначения, присоединенных к Единой энергетической системе России;
- изолированных систем электроснабжения общего назначения;
- систем электроснабжения промышленных предприятий и других объектов народного хозяйства, не относящихся к системам общего назначения, а также в электрических сетях, находящихся в собственности потребителей электрической энергии, подключенных к указанным системам электроснабжения
Список изменений:№0 от 01.01.2014 (рег. 22.07.2013) «Текстовое изменение; Изменено заглавие»
ГОСТ Р 51317.4.30-2008ГОСТ Р 51317.4.30-2008ГОСТ Р 51317.4.30-2008ГОСТ Р 51317.4.30-2008ГОСТ Р 51317.4.30-2008ГОСТ Р 51317.4.30-2008ГОСТ Р 51317.4.30-2008ГОСТ Р 51317.4.30-2008ГОСТ Р 51317.4.30-2008ГОСТ Р 51317.4.30-2008ГОСТ Р 51317.4.30-2008ГОСТ Р 51317.4.30-2008ГОСТ Р 51317.4.30-2008ГОСТ Р 51317.4.30-2008ГОСТ Р 51317.4.30-2008ГОСТ Р 51317.4.30-2008ГОСТ Р 51317.4.30-2008ГОСТ Р 51317.4.30-2008ГОСТ Р 51317.4.30-2008ГОСТ Р 51317.4.30-2008ГОСТ Р 51317.4.30-2008ГОСТ Р 51317.4.30-2008ГОСТ Р 51317.4.30-2008ГОСТ Р 51317.4.30-2008ГОСТ Р 51317.4.30-2008ГОСТ Р 51317.4.30-2008ГОСТ Р 51317.4.30-2008ГОСТ Р 51317.4.30-2008ГОСТ Р 51317.4.30-2008ГОСТ Р 51317.4.30-2008ГОСТ Р 51317.4.30-2008ГОСТ Р 51317.4.30-2008ГОСТ Р 51317.4.30-2008ГОСТ Р 51317.4.30-2008ГОСТ Р 51317.4.30-2008ГОСТ Р 51317.4.30-2008ГОСТ Р 51317.4.30-2008ГОСТ Р 51317.4.30-2008ГОСТ Р 51317.4.30-2008ГОСТ Р 51317.4.30-2008ГОСТ Р 51317.4.30-2008ГОСТ Р 51317.4.30-2008ГОСТ Р 51317.4.30-2008ГОСТ Р 51317.4.30-2008ГОСТ Р 51317.4.30-2008ГОСТ Р 51317.4.30-2008ГОСТ Р 51317.4.30-2008ГОСТ Р 51317.4.30-2008ГОСТ Р 51317.4.30-2008ГОСТ Р 51317.4.30-2008ГОСТ Р 51317.4.30-2008ГОСТ Р 51317.4.30-2008ГОСТ Р 51317.4.30-2008ГОСТ Р 51317.4.30-2008ГОСТ Р 51317.4.30-2008ГОСТ Р 51317.4.30-2008ГОСТ Р 51317.4.30-2008ГОСТ Р 51317.4.30-2008ГОСТ Р 51317.4.30-2008ГОСТ Р 51317.4.30-2008
 




ГОСТЫ, СТРОИТЕЛЬНЫЕ и ТЕХНИЧЕСКИЕ НОРМАТИВЫ.
Некоммерческая онлайн система, содержащая все Российские Госты, национальные Стандарты и нормативы.
В Системе содержится более 150000 файлов нормативно-технической документации, действующей на территории РФ.
Система предназначена для широкого круга инженерно-технических специалистов.

Рейтинг@Mail.ru Яндекс цитирования

Copyright © www.gostrf.com, 2008 - 2026