Крупнейшая бесплатная информационно-справочная система онлайн доступа к полному собранию технических нормативно-правовых актов РФ. Огромная база технических нормативов (более 150 тысяч документов) и полное собрание национальных стандартов, аутентичное официальной базе Госстандарта. GOSTRF.com - это более 1 Терабайта бесплатной технической информации для всех пользователей интернета. Все электронные копии представленных здесь документов могут распространяться без каких-либо ограничений. Поощряется распространение информации с этого сайта на любых других ресурсах. Каждый человек имеет право на неограниченный доступ к этим документам! Каждый человек имеет право на знание требований, изложенных в данных нормативно-правовых актах!

  


 

ГОСТ Р 52600.5-2008

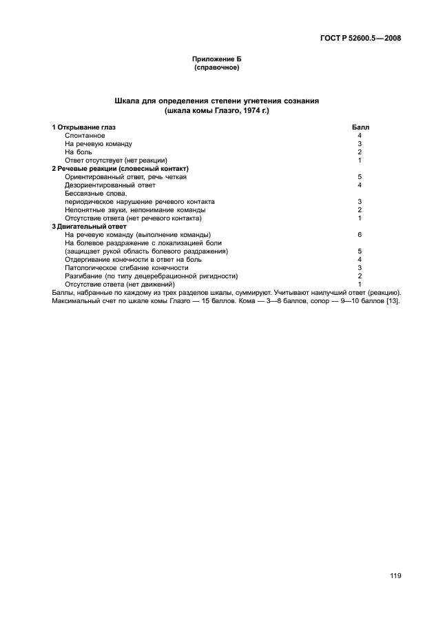
Протокол ведения больных. Инсульт

Обозначение:ГОСТ Р 52600.5-2008
Текущий статус документа: отменён
Название документа рус.:Протокол ведения больных. Инсульт
Название документа англ.:Protocol for patient's management. Stroke
Дата актуализации текста:01.12.2013
Дата издания:24.11.2009
Дата введения:01.01.2010
Дата последнего изменения:22.05.2013
Дата окончания срока действия:01.01.2010
Область применения:Настоящий стандарт устанавливает виды, объем и критерии качества медицинской помощи гражданам при заболевании “инсульт“.
Настоящий стандарт предназначен для применения медицинскими организациями и учреждениями федеральных, территориальных и муниципальных органов управления здравоохранением, систем обязательного и добровольного медицинского страхования, другими медицинскими организациями различных организационно-правовых форм деятельности, направленной на оказание медицинской помощи
Список изменений:№0 от 01.01.2010 (рег. 31.12.2008) «Утратил силу в РФ»
№0 от 01.01.2010 (рег. 15.12.2009) «Текстовое изменение; Изменено заглавие»
ГОСТ Р 52600.5-2008ГОСТ Р 52600.5-2008ГОСТ Р 52600.5-2008ГОСТ Р 52600.5-2008ГОСТ Р 52600.5-2008ГОСТ Р 52600.5-2008ГОСТ Р 52600.5-2008ГОСТ Р 52600.5-2008ГОСТ Р 52600.5-2008ГОСТ Р 52600.5-2008ГОСТ Р 52600.5-2008ГОСТ Р 52600.5-2008ГОСТ Р 52600.5-2008ГОСТ Р 52600.5-2008ГОСТ Р 52600.5-2008ГОСТ Р 52600.5-2008ГОСТ Р 52600.5-2008ГОСТ Р 52600.5-2008ГОСТ Р 52600.5-2008ГОСТ Р 52600.5-2008ГОСТ Р 52600.5-2008ГОСТ Р 52600.5-2008ГОСТ Р 52600.5-2008ГОСТ Р 52600.5-2008ГОСТ Р 52600.5-2008ГОСТ Р 52600.5-2008ГОСТ Р 52600.5-2008ГОСТ Р 52600.5-2008ГОСТ Р 52600.5-2008ГОСТ Р 52600.5-2008ГОСТ Р 52600.5-2008ГОСТ Р 52600.5-2008ГОСТ Р 52600.5-2008ГОСТ Р 52600.5-2008ГОСТ Р 52600.5-2008ГОСТ Р 52600.5-2008ГОСТ Р 52600.5-2008ГОСТ Р 52600.5-2008ГОСТ Р 52600.5-2008ГОСТ Р 52600.5-2008ГОСТ Р 52600.5-2008ГОСТ Р 52600.5-2008ГОСТ Р 52600.5-2008ГОСТ Р 52600.5-2008ГОСТ Р 52600.5-2008ГОСТ Р 52600.5-2008ГОСТ Р 52600.5-2008ГОСТ Р 52600.5-2008ГОСТ Р 52600.5-2008ГОСТ Р 52600.5-2008ГОСТ Р 52600.5-2008ГОСТ Р 52600.5-2008ГОСТ Р 52600.5-2008ГОСТ Р 52600.5-2008ГОСТ Р 52600.5-2008ГОСТ Р 52600.5-2008ГОСТ Р 52600.5-2008ГОСТ Р 52600.5-2008ГОСТ Р 52600.5-2008ГОСТ Р 52600.5-2008ГОСТ Р 52600.5-2008ГОСТ Р 52600.5-2008ГОСТ Р 52600.5-2008ГОСТ Р 52600.5-2008ГОСТ Р 52600.5-2008ГОСТ Р 52600.5-2008ГОСТ Р 52600.5-2008ГОСТ Р 52600.5-2008ГОСТ Р 52600.5-2008ГОСТ Р 52600.5-2008ГОСТ Р 52600.5-2008ГОСТ Р 52600.5-2008ГОСТ Р 52600.5-2008ГОСТ Р 52600.5-2008ГОСТ Р 52600.5-2008ГОСТ Р 52600.5-2008ГОСТ Р 52600.5-2008ГОСТ Р 52600.5-2008ГОСТ Р 52600.5-2008ГОСТ Р 52600.5-2008ГОСТ Р 52600.5-2008ГОСТ Р 52600.5-2008ГОСТ Р 52600.5-2008ГОСТ Р 52600.5-2008ГОСТ Р 52600.5-2008ГОСТ Р 52600.5-2008ГОСТ Р 52600.5-2008ГОСТ Р 52600.5-2008ГОСТ Р 52600.5-2008ГОСТ Р 52600.5-2008ГОСТ Р 52600.5-2008ГОСТ Р 52600.5-2008ГОСТ Р 52600.5-2008ГОСТ Р 52600.5-2008ГОСТ Р 52600.5-2008ГОСТ Р 52600.5-2008ГОСТ Р 52600.5-2008ГОСТ Р 52600.5-2008ГОСТ Р 52600.5-2008ГОСТ Р 52600.5-2008ГОСТ Р 52600.5-2008ГОСТ Р 52600.5-2008ГОСТ Р 52600.5-2008ГОСТ Р 52600.5-2008ГОСТ Р 52600.5-2008ГОСТ Р 52600.5-2008ГОСТ Р 52600.5-2008ГОСТ Р 52600.5-2008ГОСТ Р 52600.5-2008ГОСТ Р 52600.5-2008ГОСТ Р 52600.5-2008ГОСТ Р 52600.5-2008ГОСТ Р 52600.5-2008ГОСТ Р 52600.5-2008ГОСТ Р 52600.5-2008ГОСТ Р 52600.5-2008ГОСТ Р 52600.5-2008ГОСТ Р 52600.5-2008ГОСТ Р 52600.5-2008ГОСТ Р 52600.5-2008ГОСТ Р 52600.5-2008ГОСТ Р 52600.5-2008ГОСТ Р 52600.5-2008ГОСТ Р 52600.5-2008ГОСТ Р 52600.5-2008ГОСТ Р 52600.5-2008ГОСТ Р 52600.5-2008ГОСТ Р 52600.5-2008ГОСТ Р 52600.5-2008ГОСТ Р 52600.5-2008ГОСТ Р 52600.5-2008ГОСТ Р 52600.5-2008ГОСТ Р 52600.5-2008ГОСТ Р 52600.5-2008ГОСТ Р 52600.5-2008ГОСТ Р 52600.5-2008ГОСТ Р 52600.5-2008ГОСТ Р 52600.5-2008ГОСТ Р 52600.5-2008ГОСТ Р 52600.5-2008ГОСТ Р 52600.5-2008ГОСТ Р 52600.5-2008ГОСТ Р 52600.5-2008ГОСТ Р 52600.5-2008ГОСТ Р 52600.5-2008ГОСТ Р 52600.5-2008ГОСТ Р 52600.5-2008ГОСТ Р 52600.5-2008ГОСТ Р 52600.5-2008ГОСТ Р 52600.5-2008ГОСТ Р 52600.5-2008ГОСТ Р 52600.5-2008ГОСТ Р 52600.5-2008ГОСТ Р 52600.5-2008ГОСТ Р 52600.5-2008ГОСТ Р 52600.5-2008ГОСТ Р 52600.5-2008ГОСТ Р 52600.5-2008ГОСТ Р 52600.5-2008ГОСТ Р 52600.5-2008ГОСТ Р 52600.5-2008ГОСТ Р 52600.5-2008ГОСТ Р 52600.5-2008ГОСТ Р 52600.5-2008ГОСТ Р 52600.5-2008
 




ГОСТЫ, СТРОИТЕЛЬНЫЕ и ТЕХНИЧЕСКИЕ НОРМАТИВЫ.
Некоммерческая онлайн система, содержащая все Российские Госты, национальные Стандарты и нормативы.
В Системе содержится более 150000 файлов нормативно-технической документации, действующей на территории РФ.
Система предназначена для широкого круга инженерно-технических специалистов.

Рейтинг@Mail.ru Яндекс цитирования

Copyright © www.gostrf.com, 2008 - 2026