Крупнейшая бесплатная информационно-справочная система онлайн доступа к полному собранию технических нормативно-правовых актов РФ. Огромная база технических нормативов (более 150 тысяч документов) и полное собрание национальных стандартов, аутентичное официальной базе Госстандарта. GOSTRF.com - это более 1 Терабайта бесплатной технической информации для всех пользователей интернета. Все электронные копии представленных здесь документов могут распространяться без каких-либо ограничений. Поощряется распространение информации с этого сайта на любых других ресурсах. Каждый человек имеет право на неограниченный доступ к этим документам! Каждый человек имеет право на знание требований, изложенных в данных нормативно-правовых актах!

  


 

ГОСТ Р ИСО 14258-2008

Промышленные автоматизированные системы. Концепции и правила для моделей предприятия

Обозначение:ГОСТ Р ИСО 14258-2008
Текущий статус документа: действующий
Название документа рус.:Промышленные автоматизированные системы. Концепции и правила для моделей предприятия
Название документа англ.:Industrial automation systems. Сoncepts and rules for enterprise models
Дата актуализации текста:01.12.2013
Дата издания:01.12.2009
Дата введения:01.01.2010
Дата последнего изменения:22.05.2013
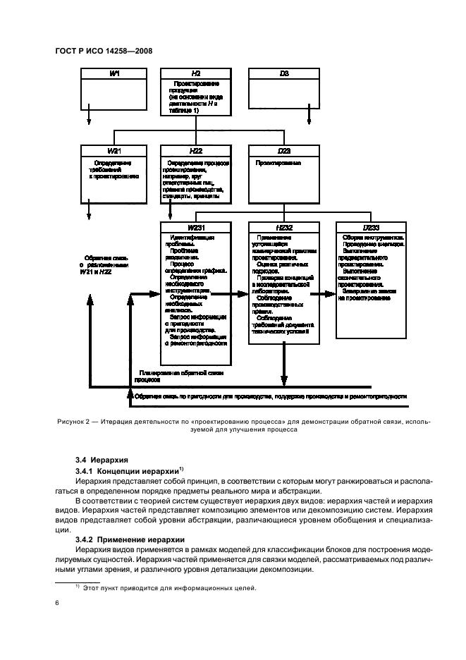
Область применения:Настоящий стандарт устанавливает концепции и правила для компьютеризированных моделей производственного предприятия, обеспечивающих более эффективное взаимодействие производственных процессов.
Настоящий стандарт не определяет стандартные производственные процессы, стандартные предприятия, стандартные организационные структуры или данные, действие которых распространяется на стандартное предприятие. Настоящий стандарт также не устанавливает процесс моделирования предприятия, а создаёт основу, с помощью которой могут разрабатываться стандарты в области моделирования предприятий там, где они необходимы
ГОСТ Р ИСО 14258-2008ГОСТ Р ИСО 14258-2008ГОСТ Р ИСО 14258-2008ГОСТ Р ИСО 14258-2008ГОСТ Р ИСО 14258-2008ГОСТ Р ИСО 14258-2008ГОСТ Р ИСО 14258-2008ГОСТ Р ИСО 14258-2008ГОСТ Р ИСО 14258-2008ГОСТ Р ИСО 14258-2008ГОСТ Р ИСО 14258-2008ГОСТ Р ИСО 14258-2008ГОСТ Р ИСО 14258-2008ГОСТ Р ИСО 14258-2008ГОСТ Р ИСО 14258-2008ГОСТ Р ИСО 14258-2008ГОСТ Р ИСО 14258-2008ГОСТ Р ИСО 14258-2008ГОСТ Р ИСО 14258-2008ГОСТ Р ИСО 14258-2008
 




ГОСТЫ, СТРОИТЕЛЬНЫЕ и ТЕХНИЧЕСКИЕ НОРМАТИВЫ.
Некоммерческая онлайн система, содержащая все Российские Госты, национальные Стандарты и нормативы.
В Системе содержится более 150000 файлов нормативно-технической документации, действующей на территории РФ.
Система предназначена для широкого круга инженерно-технических специалистов.

Рейтинг@Mail.ru Яндекс цитирования

Copyright © www.gostrf.com, 2008 - 2026