Крупнейшая бесплатная информационно-справочная система онлайн доступа к полному собранию технических нормативно-правовых актов РФ. Огромная база технических нормативов (более 150 тысяч документов) и полное собрание национальных стандартов, аутентичное официальной базе Госстандарта. GOSTRF.com - это более 1 Терабайта бесплатной технической информации для всех пользователей интернета. Все электронные копии представленных здесь документов могут распространяться без каких-либо ограничений. Поощряется распространение информации с этого сайта на любых других ресурсах. Каждый человек имеет право на неограниченный доступ к этим документам! Каждый человек имеет право на знание требований, изложенных в данных нормативно-правовых актах!

  


 

ГОСТ Р 12.0.008-2009

Система стандартов безопасности труда. Система управления охраной труда в организациях. Проверка (аудит)

Обозначение:ГОСТ Р 12.0.008-2009
Текущий статус документа: действующий
Название документа рус.:Система стандартов безопасности труда. Система управления охраной труда в организациях. Проверка (аудит)
Название документа англ.:Occupational safety standards system. Occupational safety and health management systems in organizations. Audit
Дата актуализации текста:01.12.2013
Дата издания:09.12.2009
Дата введения:30.06.2010
Дата последнего изменения:22.05.2013
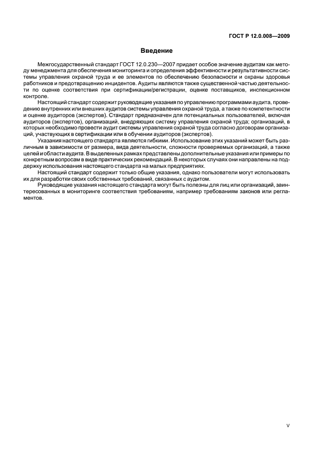
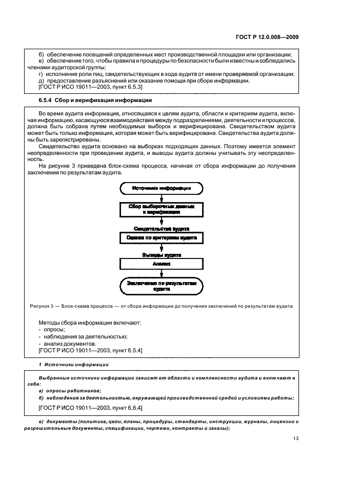
Область применения:Настоящий стандарт содержит руководящие указания по принципам аудита, управлению программами аудита, проведению аудита системы управления охраной труда, а также по компетентности аудиторов для проведения этих аудитов.
Настоящий стандарт предназначен для организаций, которым необходимо проводить внутренние и/или внешние аудиты системы управления охраной труда или управлять программами аудита
ГОСТ Р 12.0.008-2009ГОСТ Р 12.0.008-2009ГОСТ Р 12.0.008-2009ГОСТ Р 12.0.008-2009ГОСТ Р 12.0.008-2009ГОСТ Р 12.0.008-2009ГОСТ Р 12.0.008-2009ГОСТ Р 12.0.008-2009ГОСТ Р 12.0.008-2009ГОСТ Р 12.0.008-2009ГОСТ Р 12.0.008-2009ГОСТ Р 12.0.008-2009ГОСТ Р 12.0.008-2009ГОСТ Р 12.0.008-2009ГОСТ Р 12.0.008-2009ГОСТ Р 12.0.008-2009ГОСТ Р 12.0.008-2009ГОСТ Р 12.0.008-2009ГОСТ Р 12.0.008-2009ГОСТ Р 12.0.008-2009ГОСТ Р 12.0.008-2009ГОСТ Р 12.0.008-2009ГОСТ Р 12.0.008-2009ГОСТ Р 12.0.008-2009ГОСТ Р 12.0.008-2009ГОСТ Р 12.0.008-2009ГОСТ Р 12.0.008-2009ГОСТ Р 12.0.008-2009ГОСТ Р 12.0.008-2009ГОСТ Р 12.0.008-2009ГОСТ Р 12.0.008-2009ГОСТ Р 12.0.008-2009
 




ГОСТЫ, СТРОИТЕЛЬНЫЕ и ТЕХНИЧЕСКИЕ НОРМАТИВЫ.
Некоммерческая онлайн система, содержащая все Российские Госты, национальные Стандарты и нормативы.
В Системе содержится более 150000 файлов нормативно-технической документации, действующей на территории РФ.
Система предназначена для широкого круга инженерно-технических специалистов.

Рейтинг@Mail.ru Яндекс цитирования

Copyright © www.gostrf.com, 2008 - 2026