Крупнейшая бесплатная информационно-справочная система онлайн доступа к полному собранию технических нормативно-правовых актов РФ. Огромная база технических нормативов (более 150 тысяч документов) и полное собрание национальных стандартов, аутентичное официальной базе Госстандарта. GOSTRF.com - это более 1 Терабайта бесплатной технической информации для всех пользователей интернета. Все электронные копии представленных здесь документов могут распространяться без каких-либо ограничений. Поощряется распространение информации с этого сайта на любых других ресурсах. Каждый человек имеет право на неограниченный доступ к этим документам! Каждый человек имеет право на знание требований, изложенных в данных нормативно-правовых актах!

  


 

ГОСТ Р ИСО/МЭК 15459-6-2009

Автоматическая идентификация. Идентификаторы уникальные международные. Часть 6. Уникальные идентификаторы групп продукции

Обозначение:ГОСТ Р ИСО/МЭК 15459-6-2009
Текущий статус документа: действующий
Название документа рус.:Автоматическая идентификация. Идентификаторы уникальные международные. Часть 6. Уникальные идентификаторы групп продукции
Название документа англ.:Automatic identification. Unique identifiers. Part 6. Unique identifiers for product groupings
Дата актуализации текста:01.12.2013
Дата издания:12.02.2010
Дата введения:01.07.2010
Дата последнего изменения:22.05.2013
Область применения:Настоящий стандарт устанавливает требования к уникальной, лишенной семантического смысла строке знаков, предназначенной для уникальной идентификации групп продукции. Строка знаков предназначена для представления в виде линейного или двумерного символа штрихового кода, на радиочастотной метке или на ином носителе данных, прикрепляемом к продукции и/или материалу и применяемом при автоматической идентификации и сборе данных с целью соответствия требованиям, предъявляемым к управлению единичной партией или лотом.
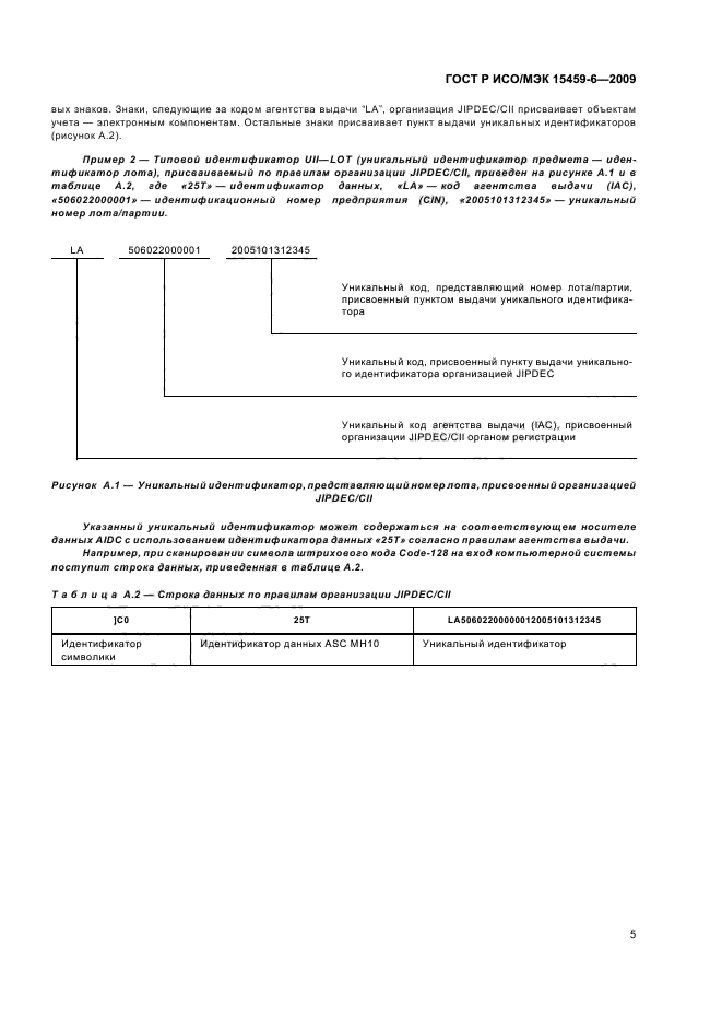
Стандарты, входящие в комплекс ИСО/МЭК 15459, соответствуют задачам целевого управления различными классами предметов, что позволяет обеспечить выполнение разнообразных потребностей путем использования уникальных идентификаторов, связанных с каждым классом
ГОСТ Р ИСО/МЭК 15459-6-2009ГОСТ Р ИСО/МЭК 15459-6-2009ГОСТ Р ИСО/МЭК 15459-6-2009ГОСТ Р ИСО/МЭК 15459-6-2009ГОСТ Р ИСО/МЭК 15459-6-2009ГОСТ Р ИСО/МЭК 15459-6-2009ГОСТ Р ИСО/МЭК 15459-6-2009ГОСТ Р ИСО/МЭК 15459-6-2009ГОСТ Р ИСО/МЭК 15459-6-2009ГОСТ Р ИСО/МЭК 15459-6-2009ГОСТ Р ИСО/МЭК 15459-6-2009
 




ГОСТЫ, СТРОИТЕЛЬНЫЕ и ТЕХНИЧЕСКИЕ НОРМАТИВЫ.
Некоммерческая онлайн система, содержащая все Российские Госты, национальные Стандарты и нормативы.
В Системе содержится более 150000 файлов нормативно-технической документации, действующей на территории РФ.
Система предназначена для широкого круга инженерно-технических специалистов.

Рейтинг@Mail.ru Яндекс цитирования

Copyright © www.gostrf.com, 2008 - 2026