Крупнейшая бесплатная информационно-справочная система онлайн доступа к полному собранию технических нормативно-правовых актов РФ. Огромная база технических нормативов (более 150 тысяч документов) и полное собрание национальных стандартов, аутентичное официальной базе Госстандарта. GOSTRF.com - это более 1 Терабайта бесплатной технической информации для всех пользователей интернета. Все электронные копии представленных здесь документов могут распространяться без каких-либо ограничений. Поощряется распространение информации с этого сайта на любых других ресурсах. Каждый человек имеет право на неограниченный доступ к этим документам! Каждый человек имеет право на знание требований, изложенных в данных нормативно-правовых актах!

  


 

ГОСТ Р 52459.14-2009

Совместимость технических средств электромагнитная. Технические средства радиосвязи. Часть 14. Частные требования к аналоговым и цифровым наземным телевизионным радиопередатчикам

Обозначение:ГОСТ Р 52459.14-2009
Текущий статус документа: действующий
Название документа рус.:Совместимость технических средств электромагнитная. Технические средства радиосвязи. Часть 14. Частные требования к аналоговым и цифровым наземным телевизионным радиопередатчикам
Название документа англ.:Еlectromagnetic compatibility of technical equipment. Radio communication equipment. Part 14. Specific requirements for analogue and digital terrestrial TV broadcasting service transmitters
Дата актуализации текста:01.12.2013
Дата издания:15.02.2010
Дата введения:01.01.2010
Дата последнего изменения:16.10.2013
Дата окончания срока действия:01.01.2014
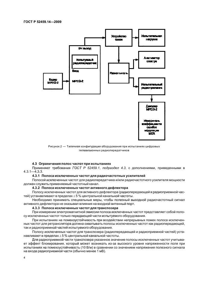
Область применения:Настоящий стандарт, совместно с ГОСТ Р 52459.1, устанавливает требования электромагнитной совместимости к аналоговым и цифровым радиопередатчикам, возбудителям и связанному с ними вспомогательному оборудованию, предназначенным для применения в радиовещательной службе для передачи телевидения, а также соответствующие методы испытаний.
Настоящий стандарт не устанавливает требований, относящихся к антенному порту радиопередатчиков и эмиссии излучаемых помех от порта корпуса радиопередатчиков.
Настоящий стандарт также устанавливает условия испытаний, оценку качества функционирования и критерии качества функционирования для аналоговых и цифровых наземных телевизионных радиопередатчиков и связанного с ними вспомогательного оборудования
Список изменений:№0 от 01.01.2014 (рег. 22.07.2013) «Текстовое изменение; Изменено заглавие»
ГОСТ Р 52459.14-2009ГОСТ Р 52459.14-2009ГОСТ Р 52459.14-2009ГОСТ Р 52459.14-2009ГОСТ Р 52459.14-2009ГОСТ Р 52459.14-2009ГОСТ Р 52459.14-2009ГОСТ Р 52459.14-2009ГОСТ Р 52459.14-2009ГОСТ Р 52459.14-2009ГОСТ Р 52459.14-2009ГОСТ Р 52459.14-2009ГОСТ Р 52459.14-2009ГОСТ Р 52459.14-2009ГОСТ Р 52459.14-2009ГОСТ Р 52459.14-2009ГОСТ Р 52459.14-2009ГОСТ Р 52459.14-2009ГОСТ Р 52459.14-2009ГОСТ Р 52459.14-2009
 




ГОСТЫ, СТРОИТЕЛЬНЫЕ и ТЕХНИЧЕСКИЕ НОРМАТИВЫ.
Некоммерческая онлайн система, содержащая все Российские Госты, национальные Стандарты и нормативы.
В Системе содержится более 150000 файлов нормативно-технической документации, действующей на территории РФ.
Система предназначена для широкого круга инженерно-технических специалистов.

Рейтинг@Mail.ru Яндекс цитирования

Copyright © www.gostrf.com, 2008 - 2026