Крупнейшая бесплатная информационно-справочная система онлайн доступа к полному собранию технических нормативно-правовых актов РФ. Огромная база технических нормативов (более 150 тысяч документов) и полное собрание национальных стандартов, аутентичное официальной базе Госстандарта. GOSTRF.com - это более 1 Терабайта бесплатной технической информации для всех пользователей интернета. Все электронные копии представленных здесь документов могут распространяться без каких-либо ограничений. Поощряется распространение информации с этого сайта на любых других ресурсах. Каждый человек имеет право на неограниченный доступ к этим документам! Каждый человек имеет право на знание требований, изложенных в данных нормативно-правовых актах!

  


 

ГОСТ Р ИСО 14064-3-2007

Газы парниковые. Часть 3. Требования и руководство по валидации и верификации утверждений, касающихся парниковых газов

Обозначение:ГОСТ Р ИСО 14064-3-2007
Текущий статус документа: действующий
Название документа рус.:Газы парниковые. Часть 3. Требования и руководство по валидации и верификации утверждений, касающихся парниковых газов
Название документа англ.:Greenhouse gases. Part 3. Specification with guidance for the validation and verification of greenhouse gas assertions
Дата актуализации текста:01.12.2013
Дата издания:20.01.2010
Дата введения:01.01.2009
Дата последнего изменения:22.05.2013
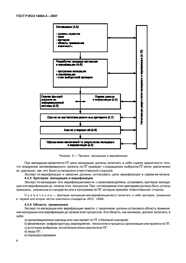
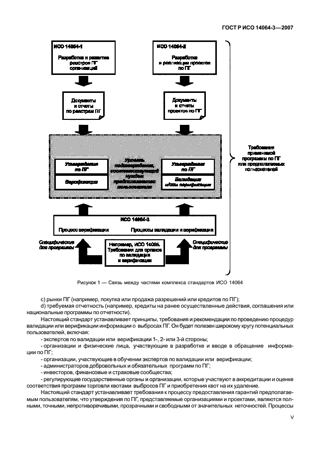
Область применения:Настоящий стандарт устанавливает принципы и требования, а также рекомендации по проведению или управлению процедурами валидации и/или верификации утверждений по парниковым газам (ПГ). Требования настоящего стандарта следует применять для количественных оценок, проводимых в организации, при выполнении проекта по ПГ, включая количественное определение выбросов ПГ, мониторинг и предоставление отчетов в соответствии с требованиями первой и второй частей комплекса стандартов ИСО 14064.
Настоящий стандарт также устанавливает требования к выбору экспертов по валидации и верификации, установлению уровня гарантий, целей, критериев и областей применения, выбору подходов к процедурам валидации или верификации, оценке данных по ПГ, информации, информационным системам и системам управления, оценке правильности утверждений по ПГ и подготовке заключений по результатам валидации или верификации.
Настоящий стандарт не влияет на требования программ по ПГ. Требования действующих программ по ПГ дополняют требования настоящего стандарта
ГОСТ Р ИСО 14064-3-2007ГОСТ Р ИСО 14064-3-2007ГОСТ Р ИСО 14064-3-2007ГОСТ Р ИСО 14064-3-2007ГОСТ Р ИСО 14064-3-2007ГОСТ Р ИСО 14064-3-2007ГОСТ Р ИСО 14064-3-2007ГОСТ Р ИСО 14064-3-2007ГОСТ Р ИСО 14064-3-2007ГОСТ Р ИСО 14064-3-2007ГОСТ Р ИСО 14064-3-2007ГОСТ Р ИСО 14064-3-2007ГОСТ Р ИСО 14064-3-2007ГОСТ Р ИСО 14064-3-2007ГОСТ Р ИСО 14064-3-2007ГОСТ Р ИСО 14064-3-2007ГОСТ Р ИСО 14064-3-2007ГОСТ Р ИСО 14064-3-2007ГОСТ Р ИСО 14064-3-2007ГОСТ Р ИСО 14064-3-2007ГОСТ Р ИСО 14064-3-2007ГОСТ Р ИСО 14064-3-2007ГОСТ Р ИСО 14064-3-2007ГОСТ Р ИСО 14064-3-2007ГОСТ Р ИСО 14064-3-2007ГОСТ Р ИСО 14064-3-2007ГОСТ Р ИСО 14064-3-2007ГОСТ Р ИСО 14064-3-2007ГОСТ Р ИСО 14064-3-2007ГОСТ Р ИСО 14064-3-2007ГОСТ Р ИСО 14064-3-2007ГОСТ Р ИСО 14064-3-2007ГОСТ Р ИСО 14064-3-2007ГОСТ Р ИСО 14064-3-2007ГОСТ Р ИСО 14064-3-2007
 




ГОСТЫ, СТРОИТЕЛЬНЫЕ и ТЕХНИЧЕСКИЕ НОРМАТИВЫ.
Некоммерческая онлайн система, содержащая все Российские Госты, национальные Стандарты и нормативы.
В Системе содержится более 150000 файлов нормативно-технической документации, действующей на территории РФ.
Система предназначена для широкого круга инженерно-технических специалистов.

Рейтинг@Mail.ru Яндекс цитирования

Copyright © www.gostrf.com, 2008 - 2026