Крупнейшая бесплатная информационно-справочная система онлайн доступа к полному собранию технических нормативно-правовых актов РФ. Огромная база технических нормативов (более 150 тысяч документов) и полное собрание национальных стандартов, аутентичное официальной базе Госстандарта. GOSTRF.com - это более 1 Терабайта бесплатной технической информации для всех пользователей интернета. Все электронные копии представленных здесь документов могут распространяться без каких-либо ограничений. Поощряется распространение информации с этого сайта на любых других ресурсах. Каждый человек имеет право на неограниченный доступ к этим документам! Каждый человек имеет право на знание требований, изложенных в данных нормативно-правовых актах!

  


 

ГОСТ Р ИСО 14064-1-2007

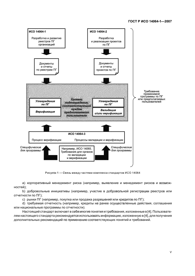
Газы парниковые. Часть 1. Требования и руководство по количественному определению и отчетности о выбросах и удалении парниковых газов на уровне организации

Обозначение:ГОСТ Р ИСО 14064-1-2007
Текущий статус документа: действующий
Название документа рус.:Газы парниковые. Часть 1. Требования и руководство по количественному определению и отчетности о выбросах и удалении парниковых газов на уровне организации
Название документа англ.:Greenhouse gases. Part 1. Specification with guidance at the organizational level for quantification and reporting of greenhouse gas emissions and removals
Дата актуализации текста:01.12.2013
Дата издания:10.02.2010
Дата введения:01.01.2009
Дата последнего изменения:22.05.2013
Область применения:Настоящий стандарт устанавливает основные принципы и требования к количественному определению и отчетности по выбросам и удалению парниковых газов (ПГ) на уровне организации. Стандарт включает в себя требования по разработке, развитию, управлению, отчетности и верификации реестра ПГ организации.
Настоящий стандарт не распространяется на разработки проектов или программ в области ПГ. Если программа по ПГ применима, требования этой программы применяют совместно с требованиями настоящего стандарта. Если требования стандарта не соответствуют требованиям проекта, применимой политики или программы, применяют требования политики или программы по ПГ
ГОСТ Р ИСО 14064-1-2007ГОСТ Р ИСО 14064-1-2007ГОСТ Р ИСО 14064-1-2007ГОСТ Р ИСО 14064-1-2007ГОСТ Р ИСО 14064-1-2007ГОСТ Р ИСО 14064-1-2007ГОСТ Р ИСО 14064-1-2007ГОСТ Р ИСО 14064-1-2007ГОСТ Р ИСО 14064-1-2007ГОСТ Р ИСО 14064-1-2007ГОСТ Р ИСО 14064-1-2007ГОСТ Р ИСО 14064-1-2007ГОСТ Р ИСО 14064-1-2007ГОСТ Р ИСО 14064-1-2007ГОСТ Р ИСО 14064-1-2007ГОСТ Р ИСО 14064-1-2007ГОСТ Р ИСО 14064-1-2007ГОСТ Р ИСО 14064-1-2007ГОСТ Р ИСО 14064-1-2007ГОСТ Р ИСО 14064-1-2007ГОСТ Р ИСО 14064-1-2007ГОСТ Р ИСО 14064-1-2007ГОСТ Р ИСО 14064-1-2007
 




ГОСТЫ, СТРОИТЕЛЬНЫЕ и ТЕХНИЧЕСКИЕ НОРМАТИВЫ.
Некоммерческая онлайн система, содержащая все Российские Госты, национальные Стандарты и нормативы.
В Системе содержится более 150000 файлов нормативно-технической документации, действующей на территории РФ.
Система предназначена для широкого круга инженерно-технических специалистов.

Рейтинг@Mail.ru Яндекс цитирования

Copyright © www.gostrf.com, 2008 - 2026