Крупнейшая бесплатная информационно-справочная система онлайн доступа к полному собранию технических нормативно-правовых актов РФ. Огромная база технических нормативов (более 150 тысяч документов) и полное собрание национальных стандартов, аутентичное официальной базе Госстандарта. GOSTRF.com - это более 1 Терабайта бесплатной технической информации для всех пользователей интернета. Все электронные копии представленных здесь документов могут распространяться без каких-либо ограничений. Поощряется распространение информации с этого сайта на любых других ресурсах. Каждый человек имеет право на неограниченный доступ к этим документам! Каждый человек имеет право на знание требований, изложенных в данных нормативно-правовых актах!

  


 

ГОСТ Р 14.09-2005

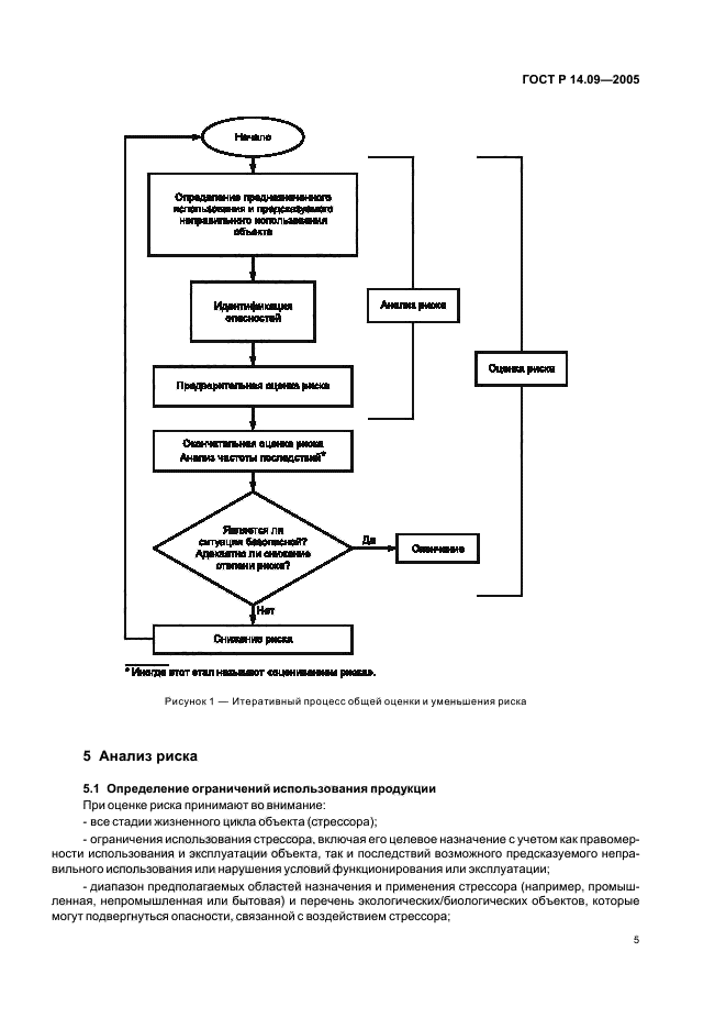
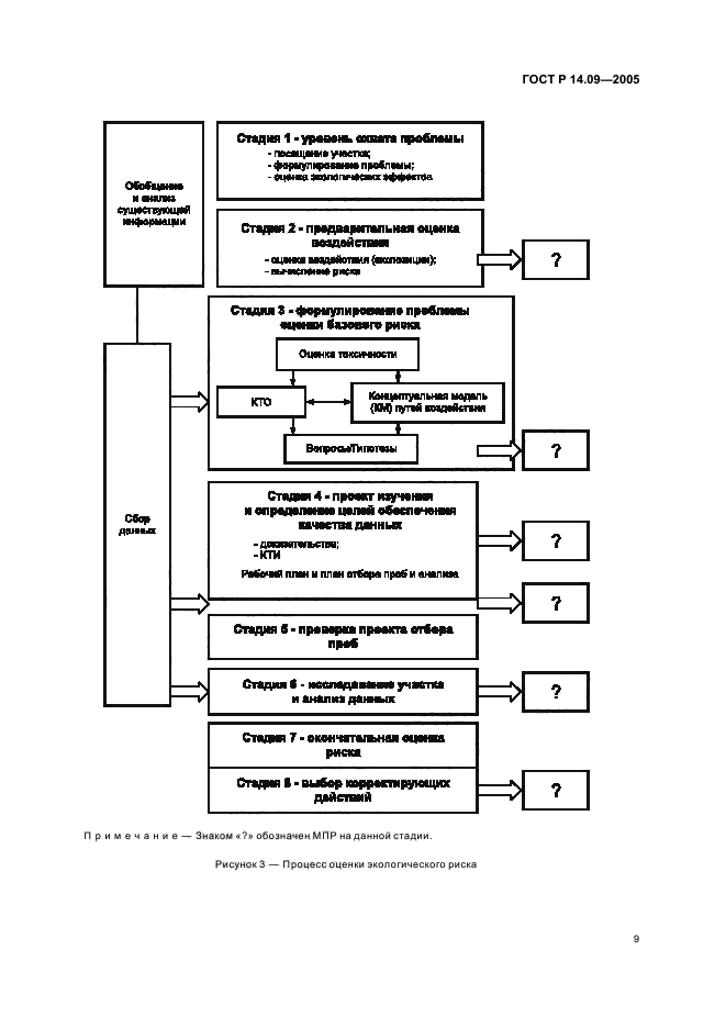
Экологический менеджмент. Руководство по оценке риска в области экологического менеджмента

Обозначение:ГОСТ Р 14.09-2005
Текущий статус документа: действующий
Название документа рус.:Экологический менеджмент. Руководство по оценке риска в области экологического менеджмента
Название документа англ.:Ecological management. Leadership on estimation of risk in field ecological management
Дата актуализации текста:01.12.2013
Дата издания:16.02.2010
Дата введения:01.01.2007
Дата последнего изменения:22.05.2013
Область применения:Настоящий стандарт устанавливает руководство по оценке экологических рисков для природоохранных зон (природных парков, заповедников) и зон, представляющих особую значимость с точки зрения их использования в качестве экологически важных объектов для реабилитации людей в зонах отдыха, на туристических базах.
Данное Руководство не распространяется на людей, домашних животных и на многие экологические объекты, компоненты и ситуации, встречающиеся в повседневной жизни. Однако настоящий стандарт может быть использован в качестве основы для разработки методов, учитывающих специфические особенности конкретных экологических объектов и ситуаций
ГОСТ Р 14.09-2005ГОСТ Р 14.09-2005ГОСТ Р 14.09-2005ГОСТ Р 14.09-2005ГОСТ Р 14.09-2005ГОСТ Р 14.09-2005ГОСТ Р 14.09-2005ГОСТ Р 14.09-2005ГОСТ Р 14.09-2005ГОСТ Р 14.09-2005ГОСТ Р 14.09-2005ГОСТ Р 14.09-2005ГОСТ Р 14.09-2005ГОСТ Р 14.09-2005ГОСТ Р 14.09-2005ГОСТ Р 14.09-2005ГОСТ Р 14.09-2005ГОСТ Р 14.09-2005ГОСТ Р 14.09-2005ГОСТ Р 14.09-2005ГОСТ Р 14.09-2005ГОСТ Р 14.09-2005ГОСТ Р 14.09-2005ГОСТ Р 14.09-2005ГОСТ Р 14.09-2005ГОСТ Р 14.09-2005ГОСТ Р 14.09-2005ГОСТ Р 14.09-2005ГОСТ Р 14.09-2005ГОСТ Р 14.09-2005ГОСТ Р 14.09-2005ГОСТ Р 14.09-2005ГОСТ Р 14.09-2005ГОСТ Р 14.09-2005ГОСТ Р 14.09-2005ГОСТ Р 14.09-2005ГОСТ Р 14.09-2005ГОСТ Р 14.09-2005ГОСТ Р 14.09-2005ГОСТ Р 14.09-2005
 




ГОСТЫ, СТРОИТЕЛЬНЫЕ и ТЕХНИЧЕСКИЕ НОРМАТИВЫ.
Некоммерческая онлайн система, содержащая все Российские Госты, национальные Стандарты и нормативы.
В Системе содержится более 150000 файлов нормативно-технической документации, действующей на территории РФ.
Система предназначена для широкого круга инженерно-технических специалистов.

Рейтинг@Mail.ru Яндекс цитирования

Copyright © www.gostrf.com, 2008 - 2026