Крупнейшая бесплатная информационно-справочная система онлайн доступа к полному собранию технических нормативно-правовых актов РФ. Огромная база технических нормативов (более 150 тысяч документов) и полное собрание национальных стандартов, аутентичное официальной базе Госстандарта. GOSTRF.com - это более 1 Терабайта бесплатной технической информации для всех пользователей интернета. Все электронные копии представленных здесь документов могут распространяться без каких-либо ограничений. Поощряется распространение информации с этого сайта на любых других ресурсах. Каждый человек имеет право на неограниченный доступ к этим документам! Каждый человек имеет право на знание требований, изложенных в данных нормативно-правовых актах!

  


 

ГОСТ Р ИСО 15926-1-2008

Промышленные автоматизированные системы и интеграция. Интеграция данных жизненного цикла для перерабатывающих предприятий, включая нефтяные и газовые производственные предприятия. Часть 1. Обзор и основополагающие принципы

Обозначение:ГОСТ Р ИСО 15926-1-2008
Текущий статус документа: действующий
Название документа рус.:Промышленные автоматизированные системы и интеграция. Интеграция данных жизненного цикла для перерабатывающих предприятий, включая нефтяные и газовые производственные предприятия. Часть 1. Обзор и основополагающие принципы
Название документа англ.:Industrial automation systems and integration. Integration of life-cycle data for process plants including oil and gas production facilities. Part 1. Overview and fundamental principles
Дата актуализации текста:01.12.2013
Дата издания:27.01.2010
Дата введения:01.01.2010
Дата последнего изменения:22.05.2013
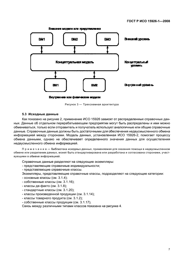
Область применения:Настоящий стандарт применяют для предоставления информации, связанной с проектированием, строительством и эксплуатацией перерабатывающих предприятий.
Настоящий стандарт устанавливает:
- требования к информации перерабатывающих секторов промышленности на всех этапах жизненного цикла предприятия;
- правила распределения и интеграции информации между сторонами, участвующими в жизненном цикле предприятия.
Область применения настоящего стандарта распространяется на:
- общую, концептуальную модель данных, подкрепляющую представление всех аспектов жизненного цикла перерабатывающего предприятия;
- исходные данные, представляющие информацию общую для многих перерабатывающих предприятий и пользователей;
- требования к области деятельности и информации по дополнительным исходным данным;
- процедуры регистрации и ведения исходных данных;
- шаблоны обмена данными, используемые в определенном контексте и их картографию к концептуальной модели данных;
- методы разработки таких шаблонов и их картографию к концептуальной модели данных;
- соответствие требованиям настоящего стандарта
ГОСТ Р ИСО 15926-1-2008ГОСТ Р ИСО 15926-1-2008ГОСТ Р ИСО 15926-1-2008ГОСТ Р ИСО 15926-1-2008ГОСТ Р ИСО 15926-1-2008ГОСТ Р ИСО 15926-1-2008ГОСТ Р ИСО 15926-1-2008ГОСТ Р ИСО 15926-1-2008ГОСТ Р ИСО 15926-1-2008ГОСТ Р ИСО 15926-1-2008ГОСТ Р ИСО 15926-1-2008ГОСТ Р ИСО 15926-1-2008ГОСТ Р ИСО 15926-1-2008ГОСТ Р ИСО 15926-1-2008ГОСТ Р ИСО 15926-1-2008ГОСТ Р ИСО 15926-1-2008ГОСТ Р ИСО 15926-1-2008ГОСТ Р ИСО 15926-1-2008ГОСТ Р ИСО 15926-1-2008
 




ГОСТЫ, СТРОИТЕЛЬНЫЕ и ТЕХНИЧЕСКИЕ НОРМАТИВЫ.
Некоммерческая онлайн система, содержащая все Российские Госты, национальные Стандарты и нормативы.
В Системе содержится более 150000 файлов нормативно-технической документации, действующей на территории РФ.
Система предназначена для широкого круга инженерно-технических специалистов.

Рейтинг@Mail.ru Яндекс цитирования

Copyright © www.gostrf.com, 2008 - 2026