Крупнейшая бесплатная информационно-справочная система онлайн доступа к полному собранию технических нормативно-правовых актов РФ. Огромная база технических нормативов (более 150 тысяч документов) и полное собрание национальных стандартов, аутентичное официальной базе Госстандарта. GOSTRF.com - это более 1 Терабайта бесплатной технической информации для всех пользователей интернета. Все электронные копии представленных здесь документов могут распространяться без каких-либо ограничений. Поощряется распространение информации с этого сайта на любых других ресурсах. Каждый человек имеет право на неограниченный доступ к этим документам! Каждый человек имеет право на знание требований, изложенных в данных нормативно-правовых актах!

  


 

ГОСТ Р 53432-2009

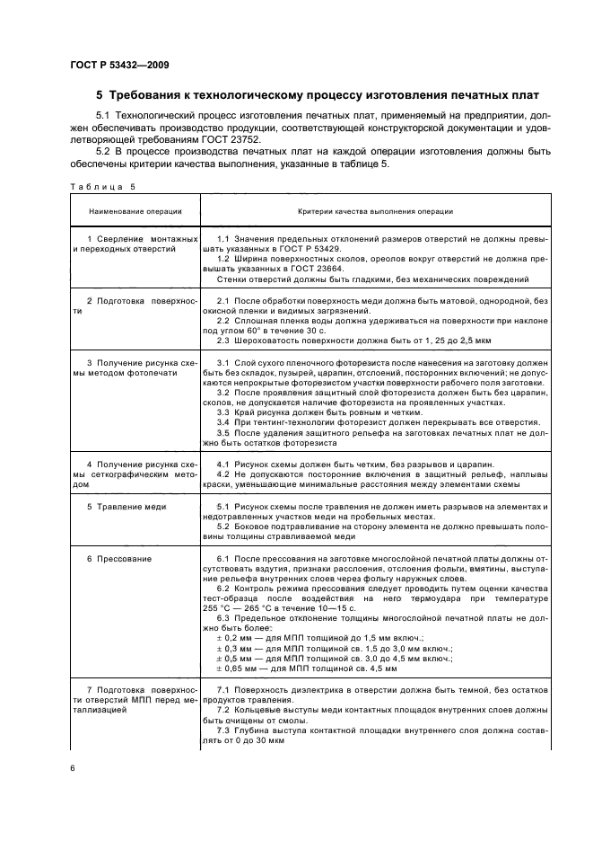
Платы печатные. Общие технические требования к производству

Обозначение:ГОСТ Р 53432-2009
Текущий статус документа: действующий
Название документа рус.:Платы печатные. Общие технические требования к производству
Название документа англ.:Printed circuit boards. General technical requirements for manufacture
Дата актуализации текста:01.12.2013
Дата издания:01.03.2010
Дата введения:30.06.2010
Дата последнего изменения:22.05.2013
Область применения:Настоящий стандарт распространяется на односторонние, двусторонние и многослойные печатные платы на жестком, гибком и гибко-жестком основании и на гибкие печатные кабели.
Стандарт устанавливает основные технические требования к производству печатных плат, обеспечивающему их изготовление со стабильными характеристиками в соответствии с конструкторской документацией, техническими условиями и требованиями ГОСТ Р ИСО 9001
ГОСТ Р 53432-2009ГОСТ Р 53432-2009ГОСТ Р 53432-2009ГОСТ Р 53432-2009ГОСТ Р 53432-2009ГОСТ Р 53432-2009ГОСТ Р 53432-2009ГОСТ Р 53432-2009ГОСТ Р 53432-2009ГОСТ Р 53432-2009ГОСТ Р 53432-2009ГОСТ Р 53432-2009ГОСТ Р 53432-2009ГОСТ Р 53432-2009ГОСТ Р 53432-2009ГОСТ Р 53432-2009ГОСТ Р 53432-2009ГОСТ Р 53432-2009ГОСТ Р 53432-2009ГОСТ Р 53432-2009
 




ГОСТЫ, СТРОИТЕЛЬНЫЕ и ТЕХНИЧЕСКИЕ НОРМАТИВЫ.
Некоммерческая онлайн система, содержащая все Российские Госты, национальные Стандарты и нормативы.
В Системе содержится более 150000 файлов нормативно-технической документации, действующей на территории РФ.
Система предназначена для широкого круга инженерно-технических специалистов.

Рейтинг@Mail.ru Яндекс цитирования

Copyright © www.gostrf.com, 2008 - 2026