Крупнейшая бесплатная информационно-справочная система онлайн доступа к полному собранию технических нормативно-правовых актов РФ. Огромная база технических нормативов (более 150 тысяч документов) и полное собрание национальных стандартов, аутентичное официальной базе Госстандарта. GOSTRF.com - это более 1 Терабайта бесплатной технической информации для всех пользователей интернета. Все электронные копии представленных здесь документов могут распространяться без каких-либо ограничений. Поощряется распространение информации с этого сайта на любых других ресурсах. Каждый человек имеет право на неограниченный доступ к этим документам! Каждый человек имеет право на знание требований, изложенных в данных нормативно-правовых актах!

  


 

ГОСТ Р ЕН 1710-2009

Оборудование и компоненты, предназначенные для применения в потенциально взрывоопасных средах подземных выработок шахт и рудников

Обозначение:ГОСТ Р ЕН 1710-2009
Текущий статус документа: отменён
Название документа рус.:Оборудование и компоненты, предназначенные для применения в потенциально взрывоопасных средах подземных выработок шахт и рудников
Название документа англ.:Equipment and components intended for use in potentially explosive atmospheres in underground mines
Дата актуализации текста:01.12.2013
Дата издания:12.03.2010
Дата введения:01.01.2011
Дата последнего изменения:22.05.2013
Дата окончания срока действия:15.02.2013
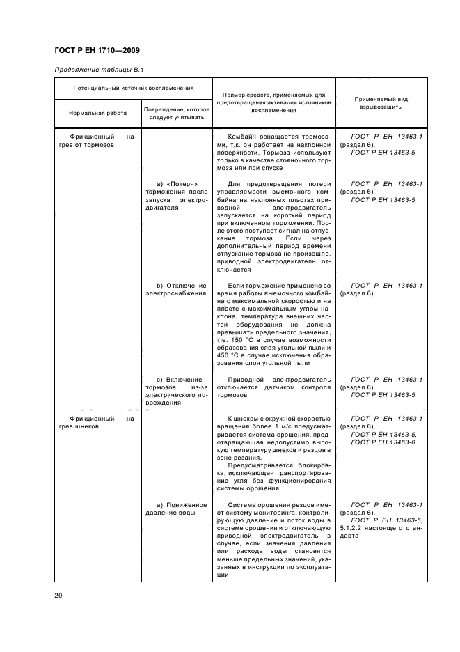
Область применения:Настоящий стандарт устанавливает требования по взрывозащите к конструкции и изготовлению оборудования, которое может быть применено как самостоятельная единица или в составе комплексов. Они включают поставку оборудования и его компонентов конкретным изготовителем для применения в шахтах, имеющих взрывоопасную среду рудничного газа и (или) горючей пыли (при условиях, определенных в ГОСТ Р EН 1127-2).
Оборудование, подпадающее под требования соответствующих пунктов настоящего стандарта, считается соответствующим требованиям для оборудования группы I уровень взрывозащиты Мb. Настоящий стандарт устанавливает требования по предотвращению воспламенения взрывоопасной среды, обусловленной горением или тлением горючих материалов, таких как текстильные слои кабелей, пластиковые прокладки, резиновые уплотнения, смазочные масла и смазки, используемые в конструкции оборудования, в случае, если они могут быть источником воспламенения
Список изменений:№0 от 15.02.2013 (рег. 22.12.2011) «Текстовое изменение; Изменено заглавие»
ГОСТ Р ЕН 1710-2009ГОСТ Р ЕН 1710-2009ГОСТ Р ЕН 1710-2009ГОСТ Р ЕН 1710-2009ГОСТ Р ЕН 1710-2009ГОСТ Р ЕН 1710-2009ГОСТ Р ЕН 1710-2009ГОСТ Р ЕН 1710-2009ГОСТ Р ЕН 1710-2009ГОСТ Р ЕН 1710-2009ГОСТ Р ЕН 1710-2009ГОСТ Р ЕН 1710-2009ГОСТ Р ЕН 1710-2009ГОСТ Р ЕН 1710-2009ГОСТ Р ЕН 1710-2009ГОСТ Р ЕН 1710-2009ГОСТ Р ЕН 1710-2009ГОСТ Р ЕН 1710-2009ГОСТ Р ЕН 1710-2009ГОСТ Р ЕН 1710-2009ГОСТ Р ЕН 1710-2009ГОСТ Р ЕН 1710-2009ГОСТ Р ЕН 1710-2009ГОСТ Р ЕН 1710-2009ГОСТ Р ЕН 1710-2009ГОСТ Р ЕН 1710-2009ГОСТ Р ЕН 1710-2009ГОСТ Р ЕН 1710-2009ГОСТ Р ЕН 1710-2009ГОСТ Р ЕН 1710-2009ГОСТ Р ЕН 1710-2009ГОСТ Р ЕН 1710-2009ГОСТ Р ЕН 1710-2009ГОСТ Р ЕН 1710-2009ГОСТ Р ЕН 1710-2009ГОСТ Р ЕН 1710-2009
 




ГОСТЫ, СТРОИТЕЛЬНЫЕ и ТЕХНИЧЕСКИЕ НОРМАТИВЫ.
Некоммерческая онлайн система, содержащая все Российские Госты, национальные Стандарты и нормативы.
В Системе содержится более 150000 файлов нормативно-технической документации, действующей на территории РФ.
Система предназначена для широкого круга инженерно-технических специалистов.

Рейтинг@Mail.ru Яндекс цитирования

Copyright © www.gostrf.com, 2008 - 2026