Крупнейшая бесплатная информационно-справочная система онлайн доступа к полному собранию технических нормативно-правовых актов РФ. Огромная база технических нормативов (более 150 тысяч документов) и полное собрание национальных стандартов, аутентичное официальной базе Госстандарта. GOSTRF.com - это более 1 Терабайта бесплатной технической информации для всех пользователей интернета. Все электронные копии представленных здесь документов могут распространяться без каких-либо ограничений. Поощряется распространение информации с этого сайта на любых других ресурсах. Каждый человек имеет право на неограниченный доступ к этим документам! Каждый человек имеет право на знание требований, изложенных в данных нормативно-правовых актах!

  


 

ГОСТ Р ИСО/МЭК ТО 19791-2008

Информационная технология. Методы и средства обеспечения безопасности. Оценка безопасности автоматизированных систем

Обозначение:ГОСТ Р ИСО/МЭК ТО 19791-2008
Текущий статус документа: действующий
Название документа рус.:Информационная технология. Методы и средства обеспечения безопасности. Оценка безопасности автоматизированных систем
Название документа англ.:Information technology. Security techniques. Security assessment of operational systems
Дата актуализации текста:01.12.2013
Дата издания:05.05.2010
Дата введения:01.10.2009
Дата последнего изменения:22.05.2013
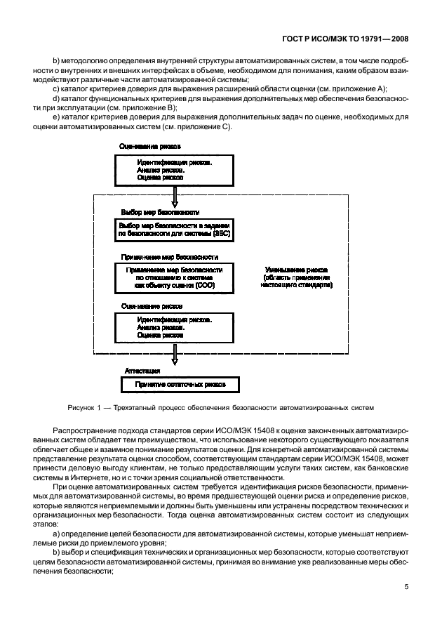
Область применения:Настоящий стандарт содержит рекомендации и критерии оценки безопасности автоматизированных систем, а также обеспечивает расширение области применения стандартов серии ИСО/МЭК 15408, включая ряд критических аспектов, касающихся оценки среды эксплуатации объекта оценки и декомпозиции составных АС на домены безопасности, которые должны оцениваться отдельно.
Настоящий стандарт устанавливает:
а) определение и модель АС;
b) описание расширений концепции оценки безопасности с помощью
стандартов серии ИСО/МЭК 15408, необходимого для оценки АС;
с) методологию и процесс выполнения оценки безопасности АС;
d) дополнительные критерии оценки безопасности, охватывающие те аспекты АС, которые не были охвачены критериями оценки безопасности в стандартах серии ИСО/МЭК 15408.
Настоящий стандарт дает возможность включать продукты безопасности, оцененные в соответствии с требованиями стандартов серии ИСО/МЭК 15408, в автоматизированные системы и проводить оценку как единого целого с использованием настоящего стандарта.
Настоящий стандарт ограничивается оценкой безопасности автоматизированных систем и не распространяется на другие формы оценки систем. Настоящий стандарт не определяет методы и средства идентификации, оценки и принятия эксплуатационного риска
ГОСТ Р ИСО/МЭК ТО 19791-2008ГОСТ Р ИСО/МЭК ТО 19791-2008ГОСТ Р ИСО/МЭК ТО 19791-2008ГОСТ Р ИСО/МЭК ТО 19791-2008ГОСТ Р ИСО/МЭК ТО 19791-2008ГОСТ Р ИСО/МЭК ТО 19791-2008ГОСТ Р ИСО/МЭК ТО 19791-2008ГОСТ Р ИСО/МЭК ТО 19791-2008ГОСТ Р ИСО/МЭК ТО 19791-2008ГОСТ Р ИСО/МЭК ТО 19791-2008ГОСТ Р ИСО/МЭК ТО 19791-2008ГОСТ Р ИСО/МЭК ТО 19791-2008ГОСТ Р ИСО/МЭК ТО 19791-2008ГОСТ Р ИСО/МЭК ТО 19791-2008ГОСТ Р ИСО/МЭК ТО 19791-2008ГОСТ Р ИСО/МЭК ТО 19791-2008ГОСТ Р ИСО/МЭК ТО 19791-2008ГОСТ Р ИСО/МЭК ТО 19791-2008ГОСТ Р ИСО/МЭК ТО 19791-2008ГОСТ Р ИСО/МЭК ТО 19791-2008ГОСТ Р ИСО/МЭК ТО 19791-2008ГОСТ Р ИСО/МЭК ТО 19791-2008ГОСТ Р ИСО/МЭК ТО 19791-2008ГОСТ Р ИСО/МЭК ТО 19791-2008ГОСТ Р ИСО/МЭК ТО 19791-2008ГОСТ Р ИСО/МЭК ТО 19791-2008ГОСТ Р ИСО/МЭК ТО 19791-2008ГОСТ Р ИСО/МЭК ТО 19791-2008ГОСТ Р ИСО/МЭК ТО 19791-2008ГОСТ Р ИСО/МЭК ТО 19791-2008ГОСТ Р ИСО/МЭК ТО 19791-2008ГОСТ Р ИСО/МЭК ТО 19791-2008ГОСТ Р ИСО/МЭК ТО 19791-2008ГОСТ Р ИСО/МЭК ТО 19791-2008ГОСТ Р ИСО/МЭК ТО 19791-2008ГОСТ Р ИСО/МЭК ТО 19791-2008ГОСТ Р ИСО/МЭК ТО 19791-2008ГОСТ Р ИСО/МЭК ТО 19791-2008ГОСТ Р ИСО/МЭК ТО 19791-2008ГОСТ Р ИСО/МЭК ТО 19791-2008ГОСТ Р ИСО/МЭК ТО 19791-2008ГОСТ Р ИСО/МЭК ТО 19791-2008ГОСТ Р ИСО/МЭК ТО 19791-2008ГОСТ Р ИСО/МЭК ТО 19791-2008ГОСТ Р ИСО/МЭК ТО 19791-2008ГОСТ Р ИСО/МЭК ТО 19791-2008ГОСТ Р ИСО/МЭК ТО 19791-2008ГОСТ Р ИСО/МЭК ТО 19791-2008ГОСТ Р ИСО/МЭК ТО 19791-2008ГОСТ Р ИСО/МЭК ТО 19791-2008ГОСТ Р ИСО/МЭК ТО 19791-2008ГОСТ Р ИСО/МЭК ТО 19791-2008ГОСТ Р ИСО/МЭК ТО 19791-2008ГОСТ Р ИСО/МЭК ТО 19791-2008ГОСТ Р ИСО/МЭК ТО 19791-2008ГОСТ Р ИСО/МЭК ТО 19791-2008ГОСТ Р ИСО/МЭК ТО 19791-2008ГОСТ Р ИСО/МЭК ТО 19791-2008ГОСТ Р ИСО/МЭК ТО 19791-2008ГОСТ Р ИСО/МЭК ТО 19791-2008ГОСТ Р ИСО/МЭК ТО 19791-2008ГОСТ Р ИСО/МЭК ТО 19791-2008ГОСТ Р ИСО/МЭК ТО 19791-2008ГОСТ Р ИСО/МЭК ТО 19791-2008ГОСТ Р ИСО/МЭК ТО 19791-2008ГОСТ Р ИСО/МЭК ТО 19791-2008ГОСТ Р ИСО/МЭК ТО 19791-2008ГОСТ Р ИСО/МЭК ТО 19791-2008ГОСТ Р ИСО/МЭК ТО 19791-2008ГОСТ Р ИСО/МЭК ТО 19791-2008ГОСТ Р ИСО/МЭК ТО 19791-2008ГОСТ Р ИСО/МЭК ТО 19791-2008ГОСТ Р ИСО/МЭК ТО 19791-2008ГОСТ Р ИСО/МЭК ТО 19791-2008ГОСТ Р ИСО/МЭК ТО 19791-2008ГОСТ Р ИСО/МЭК ТО 19791-2008ГОСТ Р ИСО/МЭК ТО 19791-2008ГОСТ Р ИСО/МЭК ТО 19791-2008ГОСТ Р ИСО/МЭК ТО 19791-2008ГОСТ Р ИСО/МЭК ТО 19791-2008ГОСТ Р ИСО/МЭК ТО 19791-2008ГОСТ Р ИСО/МЭК ТО 19791-2008ГОСТ Р ИСО/МЭК ТО 19791-2008ГОСТ Р ИСО/МЭК ТО 19791-2008ГОСТ Р ИСО/МЭК ТО 19791-2008ГОСТ Р ИСО/МЭК ТО 19791-2008ГОСТ Р ИСО/МЭК ТО 19791-2008ГОСТ Р ИСО/МЭК ТО 19791-2008ГОСТ Р ИСО/МЭК ТО 19791-2008ГОСТ Р ИСО/МЭК ТО 19791-2008ГОСТ Р ИСО/МЭК ТО 19791-2008ГОСТ Р ИСО/МЭК ТО 19791-2008ГОСТ Р ИСО/МЭК ТО 19791-2008ГОСТ Р ИСО/МЭК ТО 19791-2008ГОСТ Р ИСО/МЭК ТО 19791-2008ГОСТ Р ИСО/МЭК ТО 19791-2008ГОСТ Р ИСО/МЭК ТО 19791-2008ГОСТ Р ИСО/МЭК ТО 19791-2008ГОСТ Р ИСО/МЭК ТО 19791-2008ГОСТ Р ИСО/МЭК ТО 19791-2008ГОСТ Р ИСО/МЭК ТО 19791-2008ГОСТ Р ИСО/МЭК ТО 19791-2008ГОСТ Р ИСО/МЭК ТО 19791-2008ГОСТ Р ИСО/МЭК ТО 19791-2008ГОСТ Р ИСО/МЭК ТО 19791-2008ГОСТ Р ИСО/МЭК ТО 19791-2008ГОСТ Р ИСО/МЭК ТО 19791-2008ГОСТ Р ИСО/МЭК ТО 19791-2008ГОСТ Р ИСО/МЭК ТО 19791-2008ГОСТ Р ИСО/МЭК ТО 19791-2008ГОСТ Р ИСО/МЭК ТО 19791-2008ГОСТ Р ИСО/МЭК ТО 19791-2008ГОСТ Р ИСО/МЭК ТО 19791-2008ГОСТ Р ИСО/МЭК ТО 19791-2008ГОСТ Р ИСО/МЭК ТО 19791-2008ГОСТ Р ИСО/МЭК ТО 19791-2008ГОСТ Р ИСО/МЭК ТО 19791-2008ГОСТ Р ИСО/МЭК ТО 19791-2008ГОСТ Р ИСО/МЭК ТО 19791-2008ГОСТ Р ИСО/МЭК ТО 19791-2008ГОСТ Р ИСО/МЭК ТО 19791-2008ГОСТ Р ИСО/МЭК ТО 19791-2008ГОСТ Р ИСО/МЭК ТО 19791-2008ГОСТ Р ИСО/МЭК ТО 19791-2008ГОСТ Р ИСО/МЭК ТО 19791-2008ГОСТ Р ИСО/МЭК ТО 19791-2008
 




ГОСТЫ, СТРОИТЕЛЬНЫЕ и ТЕХНИЧЕСКИЕ НОРМАТИВЫ.
Некоммерческая онлайн система, содержащая все Российские Госты, национальные Стандарты и нормативы.
В Системе содержится более 150000 файлов нормативно-технической документации, действующей на территории РФ.
Система предназначена для широкого круга инженерно-технических специалистов.

Рейтинг@Mail.ru Яндекс цитирования

Copyright © www.gostrf.com, 2008 - 2026