Крупнейшая бесплатная информационно-справочная система онлайн доступа к полному собранию технических нормативно-правовых актов РФ. Огромная база технических нормативов (более 150 тысяч документов) и полное собрание национальных стандартов, аутентичное официальной базе Госстандарта. GOSTRF.com - это более 1 Терабайта бесплатной технической информации для всех пользователей интернета. Все электронные копии представленных здесь документов могут распространяться без каких-либо ограничений. Поощряется распространение информации с этого сайта на любых других ресурсах. Каждый человек имеет право на неограниченный доступ к этим документам! Каждый человек имеет право на знание требований, изложенных в данных нормативно-правовых актах!

  


 

ГОСТ Р ИСО/МЭК 15504-2-2009

Информационная технология. Оценка процесса. Часть 2. Проведение оценки

Обозначение:ГОСТ Р ИСО/МЭК 15504-2-2009
Текущий статус документа: действующий
Название документа рус.:Информационная технология. Оценка процесса. Часть 2. Проведение оценки
Название документа англ.:Information technology. Process assessment. Part 2. Performing an assessment
Дата актуализации текста:01.12.2013
Дата издания:19.04.2010
Дата введения:01.09.2010
Дата последнего изменения:22.05.2013
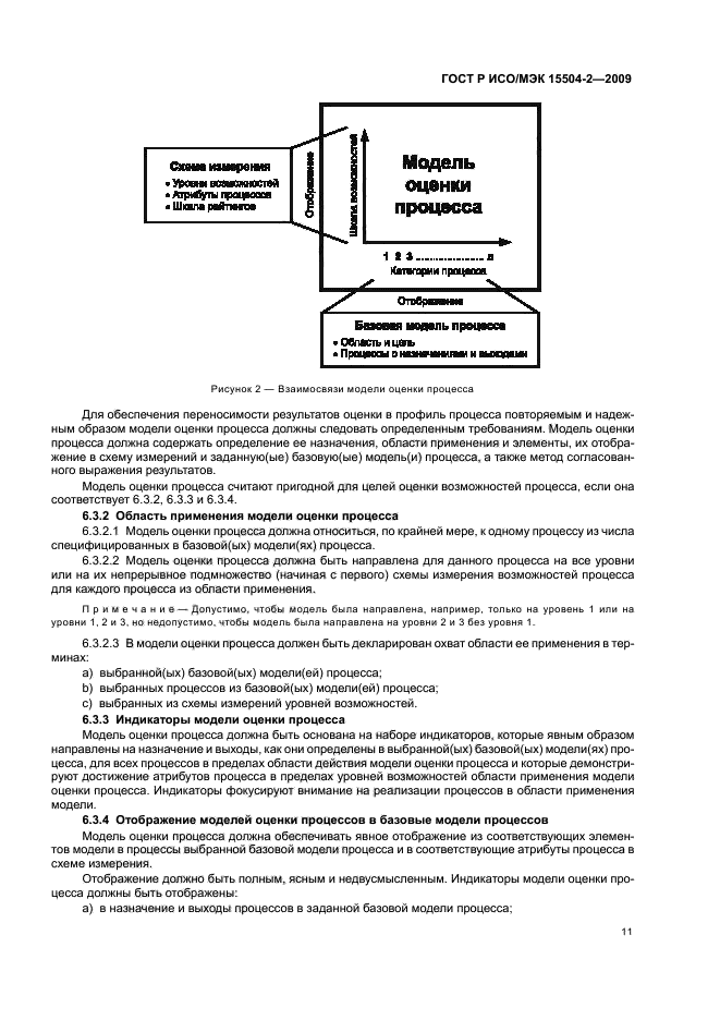
Область применения:Настоящий стандарт распространяется на оценку процессов и ее применение для улучшения и определения возможностей процесса. Настоящий стандарт устанавливает минимальный набор требований к проведению оценки, соблюдение которых обеспечит объективность, беспристрастность, непротиворечивость, повторяемость результатов оценки, представляющих оцениваемый процесс. Результаты соответствующих оценок процессов могут быть сравнимы при подобии областей этих оценок. Руководство по сравнению оценок приведено в ИСО/МЭК 15504-4.
ГОСТ Р ИСО/МЭК 15504-2-2009ГОСТ Р ИСО/МЭК 15504-2-2009ГОСТ Р ИСО/МЭК 15504-2-2009ГОСТ Р ИСО/МЭК 15504-2-2009ГОСТ Р ИСО/МЭК 15504-2-2009ГОСТ Р ИСО/МЭК 15504-2-2009ГОСТ Р ИСО/МЭК 15504-2-2009ГОСТ Р ИСО/МЭК 15504-2-2009ГОСТ Р ИСО/МЭК 15504-2-2009ГОСТ Р ИСО/МЭК 15504-2-2009ГОСТ Р ИСО/МЭК 15504-2-2009ГОСТ Р ИСО/МЭК 15504-2-2009ГОСТ Р ИСО/МЭК 15504-2-2009ГОСТ Р ИСО/МЭК 15504-2-2009ГОСТ Р ИСО/МЭК 15504-2-2009ГОСТ Р ИСО/МЭК 15504-2-2009ГОСТ Р ИСО/МЭК 15504-2-2009ГОСТ Р ИСО/МЭК 15504-2-2009ГОСТ Р ИСО/МЭК 15504-2-2009ГОСТ Р ИСО/МЭК 15504-2-2009
 




ГОСТЫ, СТРОИТЕЛЬНЫЕ и ТЕХНИЧЕСКИЕ НОРМАТИВЫ.
Некоммерческая онлайн система, содержащая все Российские Госты, национальные Стандарты и нормативы.
В Системе содержится более 150000 файлов нормативно-технической документации, действующей на территории РФ.
Система предназначена для широкого круга инженерно-технических специалистов.

Рейтинг@Mail.ru Яндекс цитирования

Copyright © www.gostrf.com, 2008 - 2026