Крупнейшая бесплатная информационно-справочная система онлайн доступа к полному собранию технических нормативно-правовых актов РФ. Огромная база технических нормативов (более 150 тысяч документов) и полное собрание национальных стандартов, аутентичное официальной базе Госстандарта. GOSTRF.com - это более 1 Терабайта бесплатной технической информации для всех пользователей интернета. Все электронные копии представленных здесь документов могут распространяться без каких-либо ограничений. Поощряется распространение информации с этого сайта на любых других ресурсах. Каждый человек имеет право на неограниченный доступ к этим документам! Каждый человек имеет право на знание требований, изложенных в данных нормативно-правовых актах!

  


 

ГОСТ Р МЭК 62127-1-2009

Государственная система обеспечения единства измерений. Параметры полей ультразвуковых. Общие требования к методам измерений и способам описания полей в частотном диапазоне от 0,5 до 40 МГц

Обозначение:ГОСТ Р МЭК 62127-1-2009
Текущий статус документа: действующий
Название документа рус.:Государственная система обеспечения единства измерений. Параметры полей ультразвуковых. Общие требования к методам измерений и способам описания полей в частотном диапазоне от 0,5 до 40 МГц
Название документа англ.:State system for ensuring the uniformity of measurements. Parameters of ultrasonic fields. General requirements to measuring methods and characterization of fields in the frequency range 0,5 to 40 MHz
Дата актуализации текста:01.12.2013
Дата издания:07.07.2010
Дата введения:01.01.2011
Дата последнего изменения:22.05.2013
Область применения:Настоящий стандарт распространяется на гидрофоны для измерений параметров ультразвукового поля, генерируемого в воде ультразвуковым медицинским оборудованием в диапазоне частот от 0,5 до 40 МГц, и устанавливает:
- группу акустических параметров, которые могут быть измерены акустическими методами;
- вторую группу параметров, значения которых могут быть вычислены по результатам этих измерений при определенных допущениях и которые называют вычисляемыми параметрами интенсивности;
- условия, при которых могут быть измерены акустические параметры с помощью гидрофонов в частотном диапазоне до 40 МГц;
- процедуры введения поправок и ограничений, связанных с использованием гидрофонов с ограниченной полосой частот и конечными размерами активного элемента
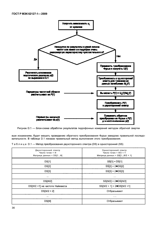
ГОСТ Р МЭК 62127-1-2009ГОСТ Р МЭК 62127-1-2009ГОСТ Р МЭК 62127-1-2009ГОСТ Р МЭК 62127-1-2009ГОСТ Р МЭК 62127-1-2009ГОСТ Р МЭК 62127-1-2009ГОСТ Р МЭК 62127-1-2009ГОСТ Р МЭК 62127-1-2009ГОСТ Р МЭК 62127-1-2009ГОСТ Р МЭК 62127-1-2009ГОСТ Р МЭК 62127-1-2009ГОСТ Р МЭК 62127-1-2009ГОСТ Р МЭК 62127-1-2009ГОСТ Р МЭК 62127-1-2009ГОСТ Р МЭК 62127-1-2009ГОСТ Р МЭК 62127-1-2009ГОСТ Р МЭК 62127-1-2009ГОСТ Р МЭК 62127-1-2009ГОСТ Р МЭК 62127-1-2009ГОСТ Р МЭК 62127-1-2009ГОСТ Р МЭК 62127-1-2009ГОСТ Р МЭК 62127-1-2009ГОСТ Р МЭК 62127-1-2009ГОСТ Р МЭК 62127-1-2009ГОСТ Р МЭК 62127-1-2009ГОСТ Р МЭК 62127-1-2009ГОСТ Р МЭК 62127-1-2009ГОСТ Р МЭК 62127-1-2009ГОСТ Р МЭК 62127-1-2009ГОСТ Р МЭК 62127-1-2009ГОСТ Р МЭК 62127-1-2009ГОСТ Р МЭК 62127-1-2009ГОСТ Р МЭК 62127-1-2009ГОСТ Р МЭК 62127-1-2009ГОСТ Р МЭК 62127-1-2009ГОСТ Р МЭК 62127-1-2009ГОСТ Р МЭК 62127-1-2009ГОСТ Р МЭК 62127-1-2009ГОСТ Р МЭК 62127-1-2009ГОСТ Р МЭК 62127-1-2009ГОСТ Р МЭК 62127-1-2009ГОСТ Р МЭК 62127-1-2009ГОСТ Р МЭК 62127-1-2009ГОСТ Р МЭК 62127-1-2009ГОСТ Р МЭК 62127-1-2009ГОСТ Р МЭК 62127-1-2009ГОСТ Р МЭК 62127-1-2009ГОСТ Р МЭК 62127-1-2009ГОСТ Р МЭК 62127-1-2009ГОСТ Р МЭК 62127-1-2009ГОСТ Р МЭК 62127-1-2009ГОСТ Р МЭК 62127-1-2009ГОСТ Р МЭК 62127-1-2009ГОСТ Р МЭК 62127-1-2009ГОСТ Р МЭК 62127-1-2009ГОСТ Р МЭК 62127-1-2009ГОСТ Р МЭК 62127-1-2009ГОСТ Р МЭК 62127-1-2009ГОСТ Р МЭК 62127-1-2009ГОСТ Р МЭК 62127-1-2009ГОСТ Р МЭК 62127-1-2009
 




ГОСТЫ, СТРОИТЕЛЬНЫЕ и ТЕХНИЧЕСКИЕ НОРМАТИВЫ.
Некоммерческая онлайн система, содержащая все Российские Госты, национальные Стандарты и нормативы.
В Системе содержится более 150000 файлов нормативно-технической документации, действующей на территории РФ.
Система предназначена для широкого круга инженерно-технических специалистов.

Рейтинг@Mail.ru Яндекс цитирования

Copyright © www.gostrf.com, 2008 - 2026