Крупнейшая бесплатная информационно-справочная система онлайн доступа к полному собранию технических нормативно-правовых актов РФ. Огромная база технических нормативов (более 150 тысяч документов) и полное собрание национальных стандартов, аутентичное официальной базе Госстандарта. GOSTRF.com - это более 1 Терабайта бесплатной технической информации для всех пользователей интернета. Все электронные копии представленных здесь документов могут распространяться без каких-либо ограничений. Поощряется распространение информации с этого сайта на любых других ресурсах. Каждый человек имеет право на неограниченный доступ к этим документам! Каждый человек имеет право на знание требований, изложенных в данных нормативно-правовых актах!

  


 

ГОСТ Р 53527-2009

Телевидение вещательное цифровое. Требования к реализации системы ограничения доступа DVB Simulcrypt на головных станциях. Основные параметры. Технические требования

Обозначение:ГОСТ Р 53527-2009
Текущий статус документа: действующий
Название документа рус.:Телевидение вещательное цифровое. Требования к реализации системы ограничения доступа DVB Simulcrypt на головных станциях. Основные параметры. Технические требования
Название документа англ.:Digital Video Broadcasting (DVB). Specifications to realization of security system DVB Simulcrypt at head stations. Basic parameters. Technical requirements
Дата актуализации текста:01.12.2013
Дата издания:23.06.2010
Дата введения:01.12.2010
Дата последнего изменения:20.06.2013
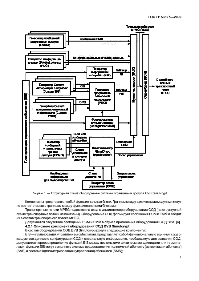
Область применения:Настоящий стандарт распространяется на систему ограничения доступа DVB Simulсrypt на головных станциях распределительных сетей кабельного телевидения
ГОСТ Р 53527-2009ГОСТ Р 53527-2009ГОСТ Р 53527-2009ГОСТ Р 53527-2009ГОСТ Р 53527-2009ГОСТ Р 53527-2009ГОСТ Р 53527-2009ГОСТ Р 53527-2009ГОСТ Р 53527-2009ГОСТ Р 53527-2009ГОСТ Р 53527-2009ГОСТ Р 53527-2009ГОСТ Р 53527-2009ГОСТ Р 53527-2009ГОСТ Р 53527-2009ГОСТ Р 53527-2009ГОСТ Р 53527-2009ГОСТ Р 53527-2009ГОСТ Р 53527-2009ГОСТ Р 53527-2009ГОСТ Р 53527-2009ГОСТ Р 53527-2009ГОСТ Р 53527-2009ГОСТ Р 53527-2009ГОСТ Р 53527-2009ГОСТ Р 53527-2009ГОСТ Р 53527-2009ГОСТ Р 53527-2009ГОСТ Р 53527-2009ГОСТ Р 53527-2009ГОСТ Р 53527-2009ГОСТ Р 53527-2009ГОСТ Р 53527-2009ГОСТ Р 53527-2009ГОСТ Р 53527-2009ГОСТ Р 53527-2009ГОСТ Р 53527-2009ГОСТ Р 53527-2009
 




ГОСТЫ, СТРОИТЕЛЬНЫЕ и ТЕХНИЧЕСКИЕ НОРМАТИВЫ.
Некоммерческая онлайн система, содержащая все Российские Госты, национальные Стандарты и нормативы.
В Системе содержится более 150000 файлов нормативно-технической документации, действующей на территории РФ.
Система предназначена для широкого круга инженерно-технических специалистов.

Рейтинг@Mail.ru Яндекс цитирования

Copyright © www.gostrf.com, 2008 - 2026