Крупнейшая бесплатная информационно-справочная система онлайн доступа к полному собранию технических нормативно-правовых актов РФ. Огромная база технических нормативов (более 150 тысяч документов) и полное собрание национальных стандартов, аутентичное официальной базе Госстандарта. GOSTRF.com - это более 1 Терабайта бесплатной технической информации для всех пользователей интернета. Все электронные копии представленных здесь документов могут распространяться без каких-либо ограничений. Поощряется распространение информации с этого сайта на любых других ресурсах. Каждый человек имеет право на неограниченный доступ к этим документам! Каждый человек имеет право на знание требований, изложенных в данных нормативно-правовых актах!

  


 

ГОСТ Р 52867-2007

Экологический менеджмент. Оценка жизненного цикла. Примеры применения ГОСТ Р ИСО 14041 для определения цели, области исследования и проведения инвентаризационного анализа

Обозначение:ГОСТ Р 52867-2007
Текущий статус документа: действующий
Название документа рус.:Экологический менеджмент. Оценка жизненного цикла. Примеры применения ГОСТ Р ИСО 14041 для определения цели, области исследования и проведения инвентаризационного анализа
Название документа англ.:Management environmental. Life сycle assessment. Еxamples of application of GOST R ISO 14041 to goal and scope definition and inventory analyses
Дата актуализации текста:01.12.2013
Дата издания:12.07.2010
Дата введения:01.01.2009
Дата последнего изменения:22.05.2013
Область применения:В настоящем стандарте приведены примеры проведения инвентаризационного анализа жизненного цикла (ИАЖЦ) как средства выполнения определенных положений ГОСТ Р ИСО 14041. Приведенные в настоящем стандарте примеры следует рассматривать как возможные способы, а не единственные методы применения ГОСТ Р ИСО 14041. Эти примеры отражают только некоторые этапы исследования ИАЖЦ.
Следует заметить, что приведенные примеры не исключают существования многих других примеров, иллюстрируют изложенные методологические вопросы и являются частью полного ИАЖЦ
ГОСТ Р 52867-2007ГОСТ Р 52867-2007ГОСТ Р 52867-2007ГОСТ Р 52867-2007ГОСТ Р 52867-2007ГОСТ Р 52867-2007ГОСТ Р 52867-2007ГОСТ Р 52867-2007ГОСТ Р 52867-2007ГОСТ Р 52867-2007ГОСТ Р 52867-2007ГОСТ Р 52867-2007ГОСТ Р 52867-2007ГОСТ Р 52867-2007ГОСТ Р 52867-2007ГОСТ Р 52867-2007ГОСТ Р 52867-2007ГОСТ Р 52867-2007ГОСТ Р 52867-2007ГОСТ Р 52867-2007ГОСТ Р 52867-2007ГОСТ Р 52867-2007ГОСТ Р 52867-2007ГОСТ Р 52867-2007ГОСТ Р 52867-2007ГОСТ Р 52867-2007ГОСТ Р 52867-2007ГОСТ Р 52867-2007ГОСТ Р 52867-2007ГОСТ Р 52867-2007ГОСТ Р 52867-2007ГОСТ Р 52867-2007ГОСТ Р 52867-2007ГОСТ Р 52867-2007ГОСТ Р 52867-2007ГОСТ Р 52867-2007ГОСТ Р 52867-2007ГОСТ Р 52867-2007ГОСТ Р 52867-2007ГОСТ Р 52867-2007ГОСТ Р 52867-2007ГОСТ Р 52867-2007
 




ГОСТЫ, СТРОИТЕЛЬНЫЕ и ТЕХНИЧЕСКИЕ НОРМАТИВЫ.
Некоммерческая онлайн система, содержащая все Российские Госты, национальные Стандарты и нормативы.
В Системе содержится более 150000 файлов нормативно-технической документации, действующей на территории РФ.
Система предназначена для широкого круга инженерно-технических специалистов.

Рейтинг@Mail.ru Яндекс цитирования

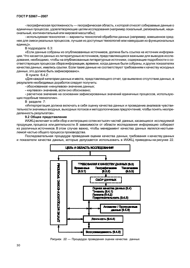
Copyright © www.gostrf.com, 2008 - 2026