Крупнейшая бесплатная информационно-справочная система онлайн доступа к полному собранию технических нормативно-правовых актов РФ. Огромная база технических нормативов (более 150 тысяч документов) и полное собрание национальных стандартов, аутентичное официальной базе Госстандарта. GOSTRF.com - это более 1 Терабайта бесплатной технической информации для всех пользователей интернета. Все электронные копии представленных здесь документов могут распространяться без каких-либо ограничений. Поощряется распространение информации с этого сайта на любых других ресурсах. Каждый человек имеет право на неограниченный доступ к этим документам! Каждый человек имеет право на знание требований, изложенных в данных нормативно-правовых актах!

  


 

ГОСТ Р ИСО 2320-2009

Гайки стальные самостопорящиеся. Механические и эксплуатационные свойства

Обозначение:ГОСТ Р ИСО 2320-2009
Текущий статус документа: действующий
Название документа рус.:Гайки стальные самостопорящиеся. Механические и эксплуатационные свойства
Название документа англ.:Prevailing torque type steel nuts – Mechanical and performance properties
Дата актуализации текста:01.12.2013
Дата издания:08.06.2010
Дата введения:01.01.2011
Дата последнего изменения:22.05.2013
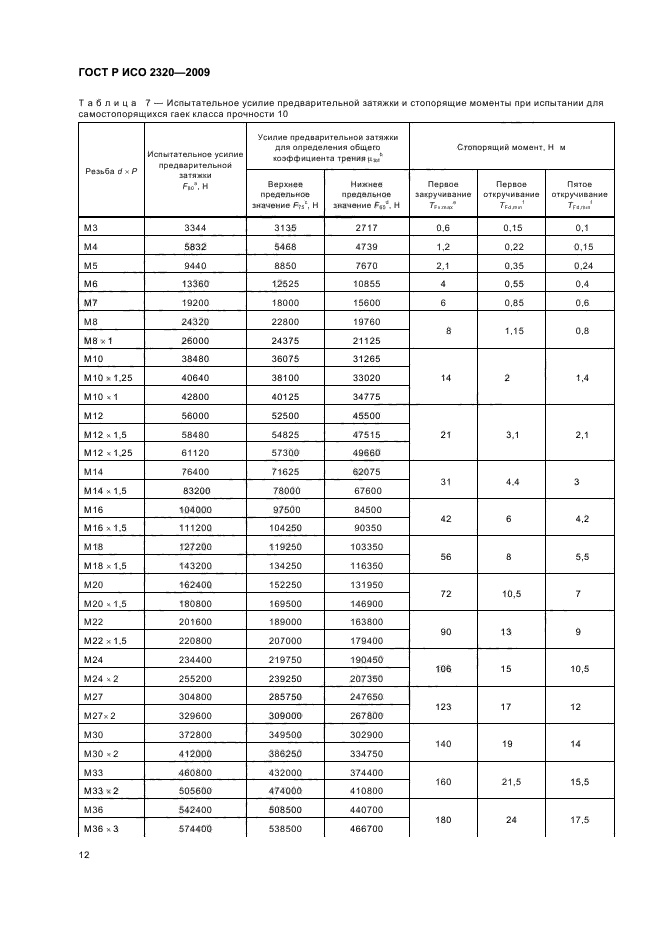
Область применения:Настоящий стандарт устанавливает механические и эксплуатационные свойства стальных самостопорящихся гаек при испытании в условиях с температурой окружающей среды от 10 °С до 35 °С, включая отдельное испытание по определению стопорящих свойств (эксплуатационных свойств) и / или характеристик стопорящего момента и усилия предварительной затяжки.
Настоящий стандарт распространяется на самостопорящиеся гайки цельнометаллические и самостопорящиеся гайки с неметаллической вставкой:
a) с треугольной резьбой по ИСО 68-1;
b) с комбинациями диаметров и шагов по ИСО 261 и ИСО 262;
c) с крупным шагом резьбы M3 до M39 и механическими свойствами по ИСО 898-2;
d) с мелким шагом резьбы M8x1 до M39x3 и механическими свойствами по ИСО 898-6;
e) при температурах от минус 50 °С до плюс 150 °С для цельнометаллических гаек
ГОСТ Р ИСО 2320-2009ГОСТ Р ИСО 2320-2009ГОСТ Р ИСО 2320-2009ГОСТ Р ИСО 2320-2009ГОСТ Р ИСО 2320-2009ГОСТ Р ИСО 2320-2009ГОСТ Р ИСО 2320-2009ГОСТ Р ИСО 2320-2009ГОСТ Р ИСО 2320-2009ГОСТ Р ИСО 2320-2009ГОСТ Р ИСО 2320-2009ГОСТ Р ИСО 2320-2009ГОСТ Р ИСО 2320-2009ГОСТ Р ИСО 2320-2009ГОСТ Р ИСО 2320-2009ГОСТ Р ИСО 2320-2009ГОСТ Р ИСО 2320-2009ГОСТ Р ИСО 2320-2009ГОСТ Р ИСО 2320-2009ГОСТ Р ИСО 2320-2009ГОСТ Р ИСО 2320-2009ГОСТ Р ИСО 2320-2009ГОСТ Р ИСО 2320-2009ГОСТ Р ИСО 2320-2009ГОСТ Р ИСО 2320-2009ГОСТ Р ИСО 2320-2009ГОСТ Р ИСО 2320-2009ГОСТ Р ИСО 2320-2009
 




ГОСТЫ, СТРОИТЕЛЬНЫЕ и ТЕХНИЧЕСКИЕ НОРМАТИВЫ.
Некоммерческая онлайн система, содержащая все Российские Госты, национальные Стандарты и нормативы.
В Системе содержится более 150000 файлов нормативно-технической документации, действующей на территории РФ.
Система предназначена для широкого круга инженерно-технических специалистов.

Рейтинг@Mail.ru Яндекс цитирования

Copyright © www.gostrf.com, 2008 - 2026