Крупнейшая бесплатная информационно-справочная система онлайн доступа к полному собранию технических нормативно-правовых актов РФ. Огромная база технических нормативов (более 150 тысяч документов) и полное собрание национальных стандартов, аутентичное официальной базе Госстандарта. GOSTRF.com - это более 1 Терабайта бесплатной технической информации для всех пользователей интернета. Все электронные копии представленных здесь документов могут распространяться без каких-либо ограничений. Поощряется распространение информации с этого сайта на любых других ресурсах. Каждый человек имеет право на неограниченный доступ к этим документам! Каждый человек имеет право на знание требований, изложенных в данных нормативно-правовых актах!

  


 

ГОСТ Р 53447-2009

Лодки надувные. Часть 2. Лодки с мощностью мотора 4,5 до 15 кВт включительно

Обозначение:ГОСТ Р 53447-2009
Текущий статус документа: действующий
Название документа рус.:Лодки надувные. Часть 2. Лодки с мощностью мотора 4,5 до 15 кВт включительно
Название документа англ.:Inflatable boаts. Part 2. Boats with a maximum motor power rating of 4,5 kW to 15 kW inclusive
Дата актуализации текста:01.12.2013
Дата издания:29.06.2010
Дата введения:30.06.2010
Дата последнего изменения:20.06.2013
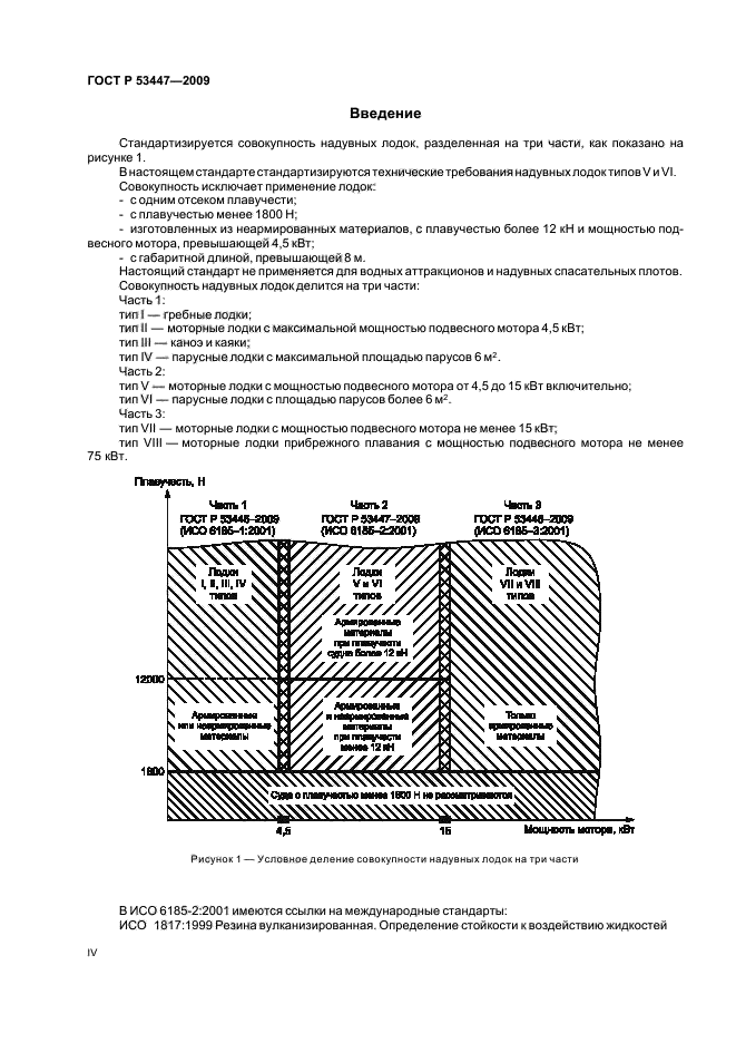
Область применения:Настоящий стандарт устанавливает минимальные требования по безопасности, предъявляемые к применяемым материалам, изготовлению и испытанию надувных лодок (включая жесткие надувные лодки) с габаритной длиной корпуса менее 8 м и плавучестью не менее 1800 Н.
Настоящий стандарт применим к следующим типам надувных лодок, предназначенных для эксплуатации при температурах воздуха от минус 15 град. С до плюс 60 град. С:
- тип V – надувные лодки, способные выдержать максимальную мощность мотора до 15 кВт включительно;
- тип VI – надувные парусные лодки с площадью парусов более 6 кв. м (см. приложение A)
ГОСТ Р 53447-2009ГОСТ Р 53447-2009ГОСТ Р 53447-2009ГОСТ Р 53447-2009ГОСТ Р 53447-2009ГОСТ Р 53447-2009ГОСТ Р 53447-2009ГОСТ Р 53447-2009ГОСТ Р 53447-2009ГОСТ Р 53447-2009ГОСТ Р 53447-2009ГОСТ Р 53447-2009ГОСТ Р 53447-2009ГОСТ Р 53447-2009ГОСТ Р 53447-2009ГОСТ Р 53447-2009ГОСТ Р 53447-2009ГОСТ Р 53447-2009ГОСТ Р 53447-2009ГОСТ Р 53447-2009ГОСТ Р 53447-2009ГОСТ Р 53447-2009ГОСТ Р 53447-2009ГОСТ Р 53447-2009
 




ГОСТЫ, СТРОИТЕЛЬНЫЕ и ТЕХНИЧЕСКИЕ НОРМАТИВЫ.
Некоммерческая онлайн система, содержащая все Российские Госты, национальные Стандарты и нормативы.
В Системе содержится более 150000 файлов нормативно-технической документации, действующей на территории РФ.
Система предназначена для широкого круга инженерно-технических специалистов.

Рейтинг@Mail.ru Яндекс цитирования

Copyright © www.gostrf.com, 2008 - 2026