Крупнейшая бесплатная информационно-справочная система онлайн доступа к полному собранию технических нормативно-правовых актов РФ. Огромная база технических нормативов (более 150 тысяч документов) и полное собрание национальных стандартов, аутентичное официальной базе Госстандарта. GOSTRF.com - это более 1 Терабайта бесплатной технической информации для всех пользователей интернета. Все электронные копии представленных здесь документов могут распространяться без каких-либо ограничений. Поощряется распространение информации с этого сайта на любых других ресурсах. Каждый человек имеет право на неограниченный доступ к этим документам! Каждый человек имеет право на знание требований, изложенных в данных нормативно-правовых актах!

  


 

ГОСТ Р ИСО/ТС 10303-1071-2009

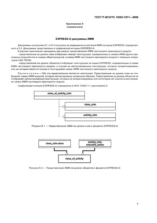
Системы автоматизации производства и их интеграция. Представление данных об изделии и обмен этими данными. Часть 1071. Прикладные модули. Класс действий

Обозначение:ГОСТ Р ИСО/ТС 10303-1071-2009
Текущий статус документа: действующий
Название документа рус.:Системы автоматизации производства и их интеграция. Представление данных об изделии и обмен этими данными. Часть 1071. Прикладные модули. Класс действий
Название документа англ.:Industrial automation systems and integration. Product data representation and exchange. Part 1071. Application module. Class of activity
Дата актуализации текста:01.12.2013
Дата издания:27.08.2010
Дата введения:01.07.2010
Дата последнего изменения:22.05.2013
Область применения:Настоящий стандарт определяет прикладной модуль “Класс действий“.
Требования настоящего стандарта распространяются на существование класса действий.
Требования настоящего стандарта не распространяются на:
- единичные действия;
Примечание - Единичные действия относятся к области применения прикладного модуля, определенного в ИСО/ТС 10303-1176.
- принадлежность к классу действий;
Примечание - Принадлежность к классу действий относится к области применения прикладного модуля, определенного в ИСО/ТС 10303-1169.
- взаимосвязи между классами действий;
Примечание - Взаимосвязи между классами действий относятся к области применения прикладных модулей, определенных в ИСО/ТС 10303-1171 и ИСО/ТС 10303-1172.
- классы участников действия.
Примечание - Классы участников действия относятся к области применения прикладного модуля, определенного в ИСО/ТС 10303-1173
ГОСТ Р ИСО/ТС 10303-1071-2009ГОСТ Р ИСО/ТС 10303-1071-2009ГОСТ Р ИСО/ТС 10303-1071-2009ГОСТ Р ИСО/ТС 10303-1071-2009ГОСТ Р ИСО/ТС 10303-1071-2009ГОСТ Р ИСО/ТС 10303-1071-2009ГОСТ Р ИСО/ТС 10303-1071-2009ГОСТ Р ИСО/ТС 10303-1071-2009ГОСТ Р ИСО/ТС 10303-1071-2009ГОСТ Р ИСО/ТС 10303-1071-2009ГОСТ Р ИСО/ТС 10303-1071-2009ГОСТ Р ИСО/ТС 10303-1071-2009ГОСТ Р ИСО/ТС 10303-1071-2009ГОСТ Р ИСО/ТС 10303-1071-2009ГОСТ Р ИСО/ТС 10303-1071-2009ГОСТ Р ИСО/ТС 10303-1071-2009
 




ГОСТЫ, СТРОИТЕЛЬНЫЕ и ТЕХНИЧЕСКИЕ НОРМАТИВЫ.
Некоммерческая онлайн система, содержащая все Российские Госты, национальные Стандарты и нормативы.
В Системе содержится более 150000 файлов нормативно-технической документации, действующей на территории РФ.
Система предназначена для широкого круга инженерно-технических специалистов.

Рейтинг@Mail.ru Яндекс цитирования

Copyright © www.gostrf.com, 2008 - 2026