Крупнейшая бесплатная информационно-справочная система онлайн доступа к полному собранию технических нормативно-правовых актов РФ. Огромная база технических нормативов (более 150 тысяч документов) и полное собрание национальных стандартов, аутентичное официальной базе Госстандарта. GOSTRF.com - это более 1 Терабайта бесплатной технической информации для всех пользователей интернета. Все электронные копии представленных здесь документов могут распространяться без каких-либо ограничений. Поощряется распространение информации с этого сайта на любых других ресурсах. Каждый человек имеет право на неограниченный доступ к этим документам! Каждый человек имеет право на знание требований, изложенных в данных нормативно-правовых актах!

  


 

ГОСТ Р ИСО 6507-4-2009

Государственная система обеспечения единства измерений. Металлы и сплавы. Измерения твердости по Виккерсу. Часть 4. Таблицы определения твердости

Обозначение:ГОСТ Р ИСО 6507-4-2009
Текущий статус документа: действующий
Название документа рус.:Государственная система обеспечения единства измерений. Металлы и сплавы. Измерения твердости по Виккерсу. Часть 4. Таблицы определения твердости
Название документа англ.:State system for ensuring the uniformity of measurements. Metals and alloys. Vickers hardness test. Part 4. Tables of hardness values
Дата актуализации текста:01.12.2013
Дата издания:16.08.2010
Дата введения:01.01.2011
Дата последнего изменения:23.05.2013
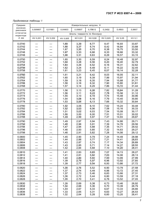
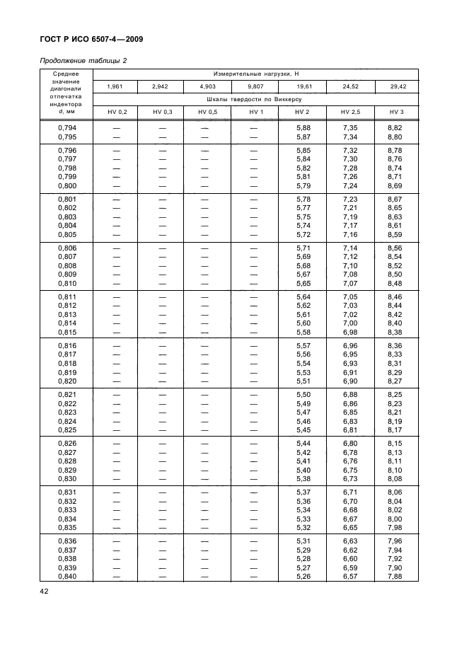
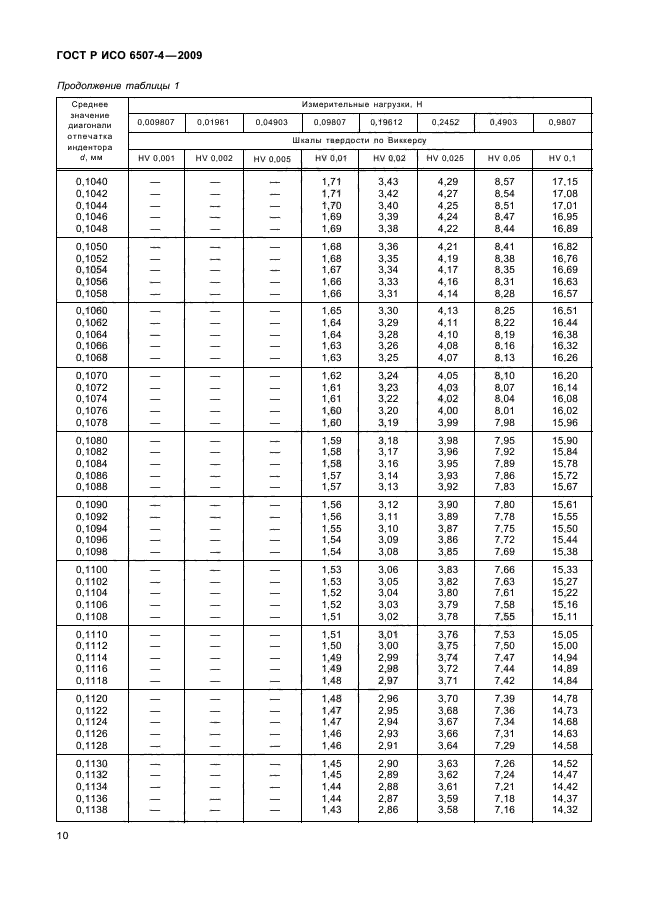
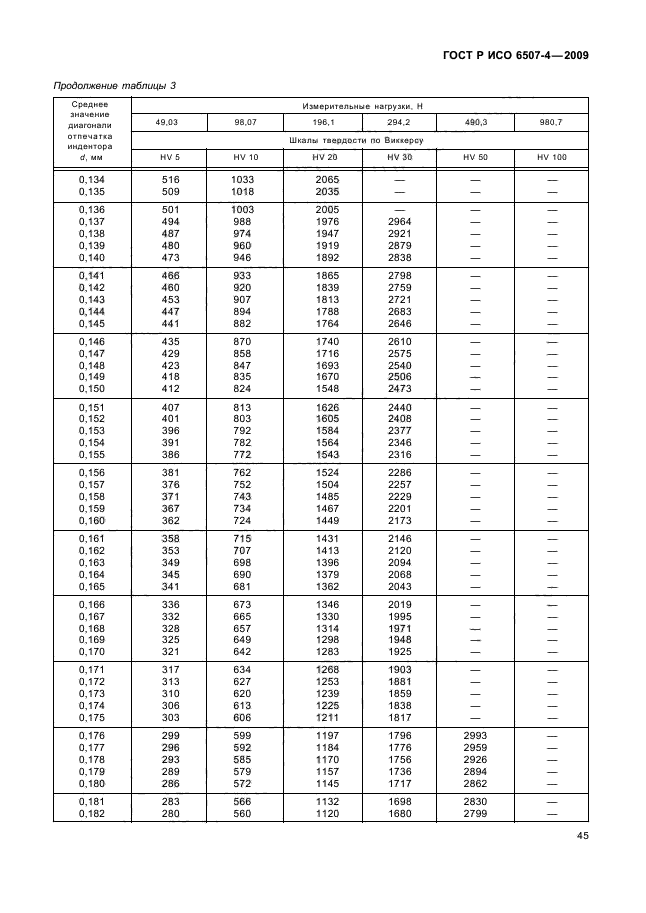
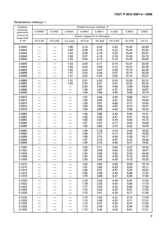
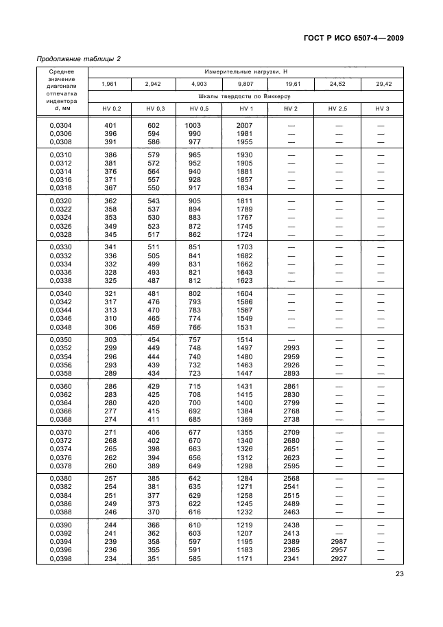
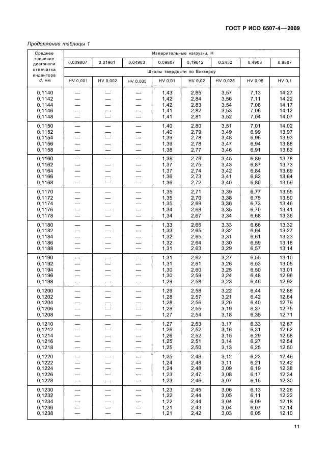
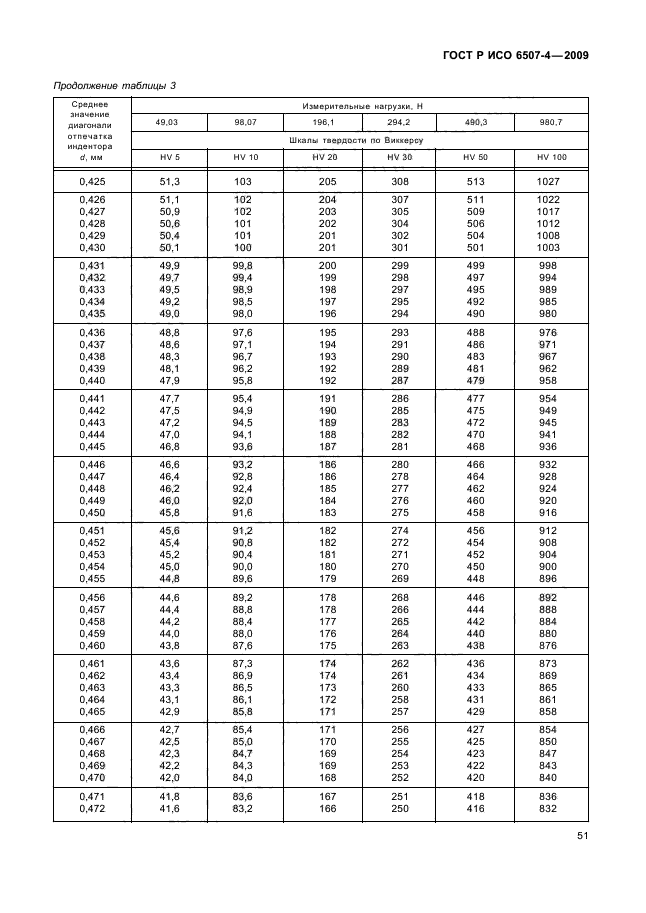
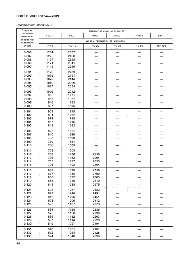
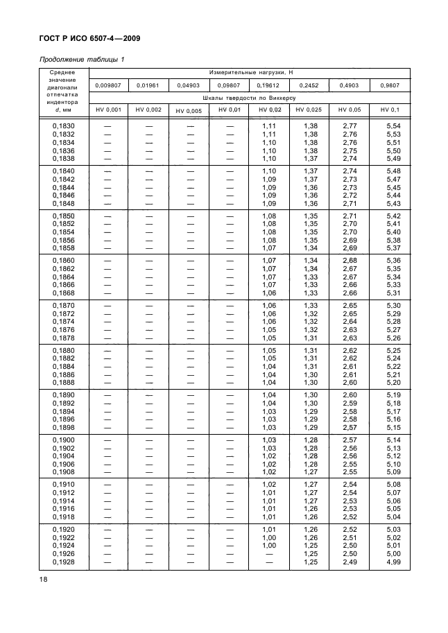
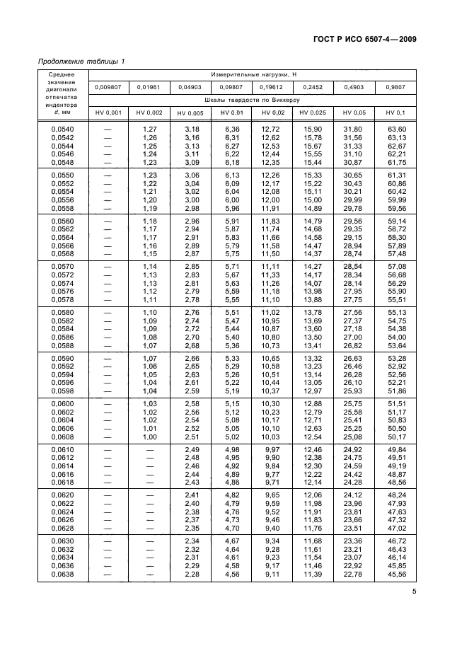
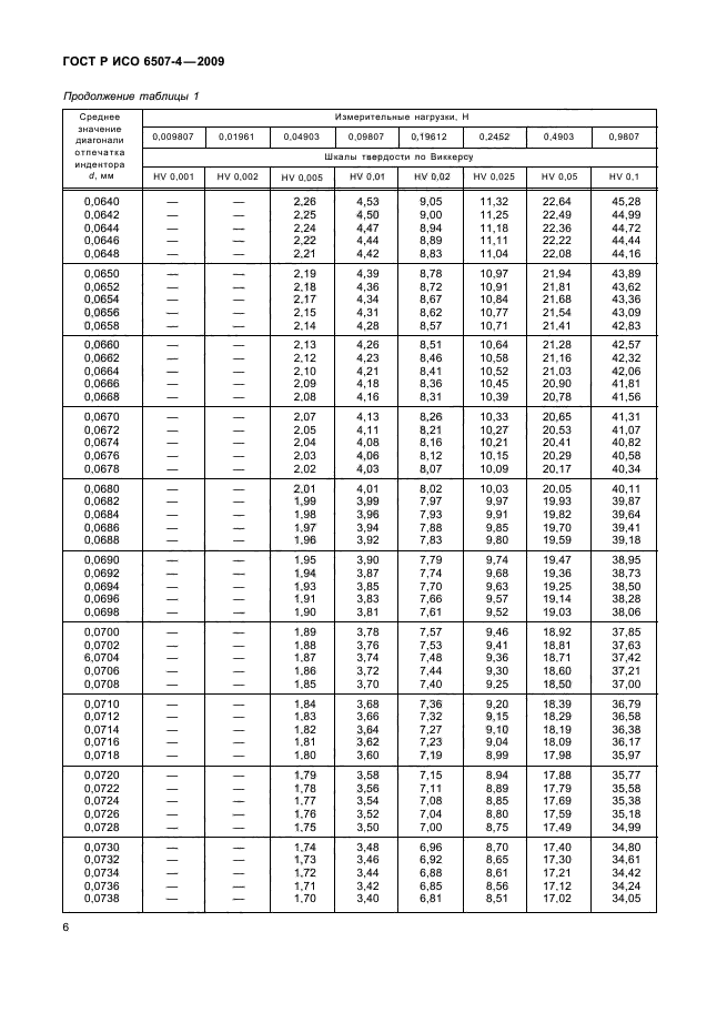
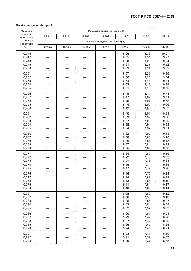
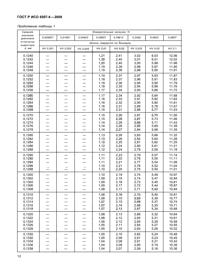
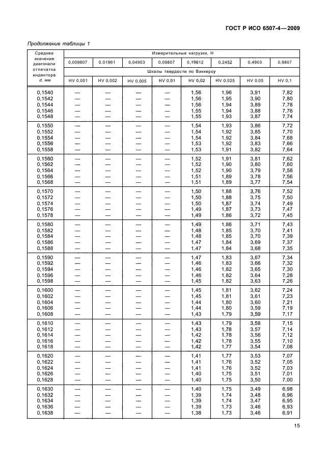
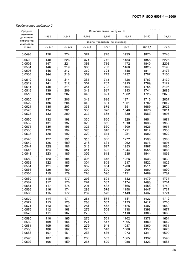
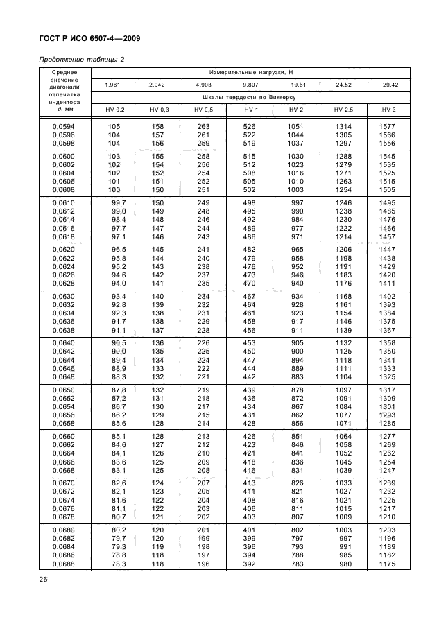
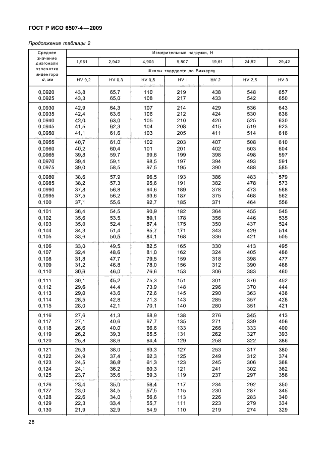
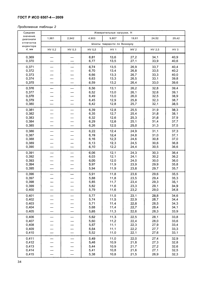
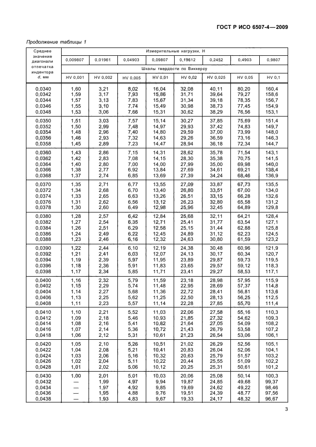
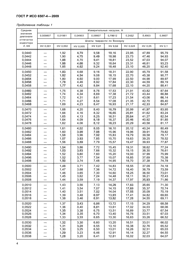
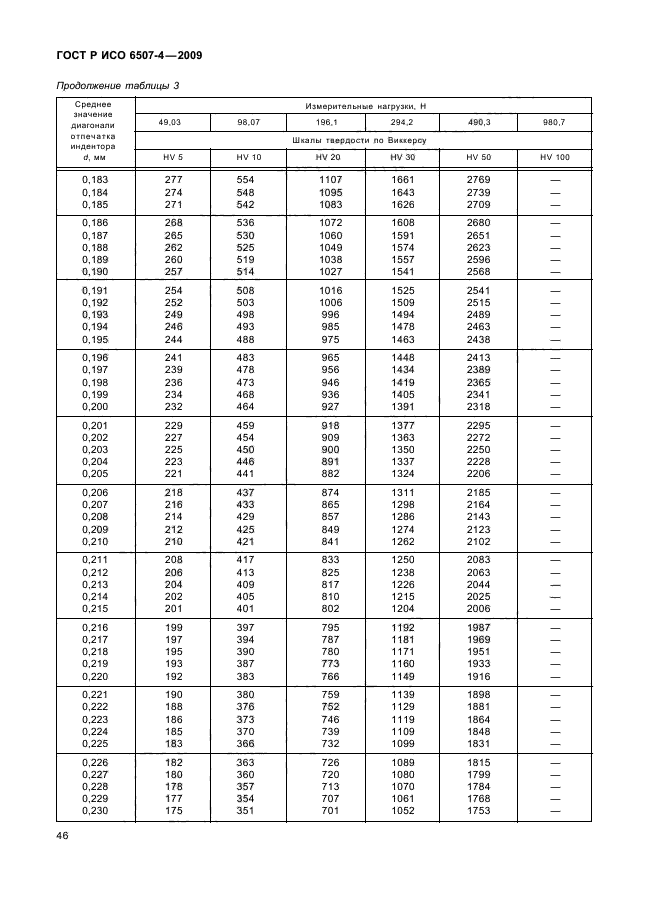
Область применения:Настоящий стандарт распространяется на таблицы для определения значений чисел твердости по шкалам Виккерса при выполнении измерений на плоских поверхностях по среднему длин диагоналей отпечатка
ГОСТ Р ИСО 6507-4-2009ГОСТ Р ИСО 6507-4-2009ГОСТ Р ИСО 6507-4-2009ГОСТ Р ИСО 6507-4-2009ГОСТ Р ИСО 6507-4-2009ГОСТ Р ИСО 6507-4-2009ГОСТ Р ИСО 6507-4-2009ГОСТ Р ИСО 6507-4-2009ГОСТ Р ИСО 6507-4-2009ГОСТ Р ИСО 6507-4-2009ГОСТ Р ИСО 6507-4-2009ГОСТ Р ИСО 6507-4-2009ГОСТ Р ИСО 6507-4-2009ГОСТ Р ИСО 6507-4-2009ГОСТ Р ИСО 6507-4-2009ГОСТ Р ИСО 6507-4-2009ГОСТ Р ИСО 6507-4-2009ГОСТ Р ИСО 6507-4-2009ГОСТ Р ИСО 6507-4-2009ГОСТ Р ИСО 6507-4-2009ГОСТ Р ИСО 6507-4-2009ГОСТ Р ИСО 6507-4-2009ГОСТ Р ИСО 6507-4-2009ГОСТ Р ИСО 6507-4-2009ГОСТ Р ИСО 6507-4-2009ГОСТ Р ИСО 6507-4-2009ГОСТ Р ИСО 6507-4-2009ГОСТ Р ИСО 6507-4-2009ГОСТ Р ИСО 6507-4-2009ГОСТ Р ИСО 6507-4-2009ГОСТ Р ИСО 6507-4-2009ГОСТ Р ИСО 6507-4-2009ГОСТ Р ИСО 6507-4-2009ГОСТ Р ИСО 6507-4-2009ГОСТ Р ИСО 6507-4-2009ГОСТ Р ИСО 6507-4-2009ГОСТ Р ИСО 6507-4-2009ГОСТ Р ИСО 6507-4-2009ГОСТ Р ИСО 6507-4-2009ГОСТ Р ИСО 6507-4-2009ГОСТ Р ИСО 6507-4-2009ГОСТ Р ИСО 6507-4-2009ГОСТ Р ИСО 6507-4-2009ГОСТ Р ИСО 6507-4-2009ГОСТ Р ИСО 6507-4-2009ГОСТ Р ИСО 6507-4-2009ГОСТ Р ИСО 6507-4-2009ГОСТ Р ИСО 6507-4-2009ГОСТ Р ИСО 6507-4-2009ГОСТ Р ИСО 6507-4-2009ГОСТ Р ИСО 6507-4-2009ГОСТ Р ИСО 6507-4-2009ГОСТ Р ИСО 6507-4-2009ГОСТ Р ИСО 6507-4-2009ГОСТ Р ИСО 6507-4-2009ГОСТ Р ИСО 6507-4-2009ГОСТ Р ИСО 6507-4-2009ГОСТ Р ИСО 6507-4-2009ГОСТ Р ИСО 6507-4-2009ГОСТ Р ИСО 6507-4-2009ГОСТ Р ИСО 6507-4-2009ГОСТ Р ИСО 6507-4-2009ГОСТ Р ИСО 6507-4-2009ГОСТ Р ИСО 6507-4-2009ГОСТ Р ИСО 6507-4-2009ГОСТ Р ИСО 6507-4-2009ГОСТ Р ИСО 6507-4-2009ГОСТ Р ИСО 6507-4-2009ГОСТ Р ИСО 6507-4-2009ГОСТ Р ИСО 6507-4-2009ГОСТ Р ИСО 6507-4-2009ГОСТ Р ИСО 6507-4-2009ГОСТ Р ИСО 6507-4-2009ГОСТ Р ИСО 6507-4-2009ГОСТ Р ИСО 6507-4-2009ГОСТ Р ИСО 6507-4-2009ГОСТ Р ИСО 6507-4-2009ГОСТ Р ИСО 6507-4-2009ГОСТ Р ИСО 6507-4-2009ГОСТ Р ИСО 6507-4-2009ГОСТ Р ИСО 6507-4-2009ГОСТ Р ИСО 6507-4-2009ГОСТ Р ИСО 6507-4-2009ГОСТ Р ИСО 6507-4-2009ГОСТ Р ИСО 6507-4-2009ГОСТ Р ИСО 6507-4-2009ГОСТ Р ИСО 6507-4-2009ГОСТ Р ИСО 6507-4-2009ГОСТ Р ИСО 6507-4-2009ГОСТ Р ИСО 6507-4-2009
 




ГОСТЫ, СТРОИТЕЛЬНЫЕ и ТЕХНИЧЕСКИЕ НОРМАТИВЫ.
Некоммерческая онлайн система, содержащая все Российские Госты, национальные Стандарты и нормативы.
В Системе содержится более 150000 файлов нормативно-технической документации, действующей на территории РФ.
Система предназначена для широкого круга инженерно-технических специалистов.

Рейтинг@Mail.ru Яндекс цитирования

Copyright © www.gostrf.com, 2008 - 2026