Крупнейшая бесплатная информационно-справочная система онлайн доступа к полному собранию технических нормативно-правовых актов РФ. Огромная база технических нормативов (более 150 тысяч документов) и полное собрание национальных стандартов, аутентичное официальной базе Госстандарта. GOSTRF.com - это более 1 Терабайта бесплатной технической информации для всех пользователей интернета. Все электронные копии представленных здесь документов могут распространяться без каких-либо ограничений. Поощряется распространение информации с этого сайта на любых других ресурсах. Каждый человек имеет право на неограниченный доступ к этим документам! Каждый человек имеет право на знание требований, изложенных в данных нормативно-правовых актах!

  


 

ГОСТ Р ИСО/ТС 10303-1158-2009

Системы автоматизации производства и их интеграция. Представление данных об изделии и обмен этими данными. Часть 1158. Прикладной модуль. Класс состава изделия

Обозначение:ГОСТ Р ИСО/ТС 10303-1158-2009
Текущий статус документа: действующий
Название документа рус.:Системы автоматизации производства и их интеграция. Представление данных об изделии и обмен этими данными. Часть 1158. Прикладной модуль. Класс состава изделия
Название документа англ.:Industrial automation systems and integration. Product data representation and exchange. Part 1158. Application module. Class of composition of product
Дата актуализации текста:01.12.2013
Дата издания:23.09.2010
Дата введения:01.07.2010
Дата последнего изменения:22.05.2013
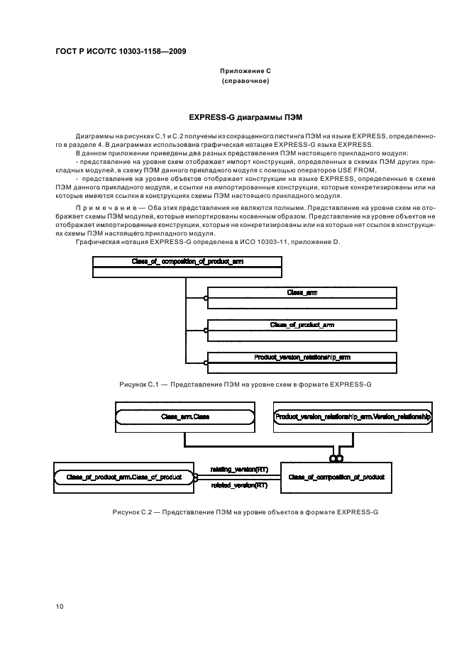
Область применения:Настоящий стандарт определяет прикладной модуль «Класс соединения изделия». Требования настоящего стандарта распространяются на:
- соответствие между одним классом изделия и другим, отражающее природу отношения часть-целое между двумя конкретными изделиями.
В область применения настоящего стандарта не входит:
- отношение часть-целое между конкретными изделиями;
- отношение быть членом класса состава изделия;
- класс отношений часть–целое между деятельностями
ГОСТ Р ИСО/ТС 10303-1158-2009ГОСТ Р ИСО/ТС 10303-1158-2009ГОСТ Р ИСО/ТС 10303-1158-2009ГОСТ Р ИСО/ТС 10303-1158-2009ГОСТ Р ИСО/ТС 10303-1158-2009ГОСТ Р ИСО/ТС 10303-1158-2009ГОСТ Р ИСО/ТС 10303-1158-2009ГОСТ Р ИСО/ТС 10303-1158-2009ГОСТ Р ИСО/ТС 10303-1158-2009ГОСТ Р ИСО/ТС 10303-1158-2009ГОСТ Р ИСО/ТС 10303-1158-2009ГОСТ Р ИСО/ТС 10303-1158-2009ГОСТ Р ИСО/ТС 10303-1158-2009ГОСТ Р ИСО/ТС 10303-1158-2009ГОСТ Р ИСО/ТС 10303-1158-2009ГОСТ Р ИСО/ТС 10303-1158-2009ГОСТ Р ИСО/ТС 10303-1158-2009ГОСТ Р ИСО/ТС 10303-1158-2009ГОСТ Р ИСО/ТС 10303-1158-2009ГОСТ Р ИСО/ТС 10303-1158-2009
 




ГОСТЫ, СТРОИТЕЛЬНЫЕ и ТЕХНИЧЕСКИЕ НОРМАТИВЫ.
Некоммерческая онлайн система, содержащая все Российские Госты, национальные Стандарты и нормативы.
В Системе содержится более 150000 файлов нормативно-технической документации, действующей на территории РФ.
Система предназначена для широкого круга инженерно-технических специалистов.

Рейтинг@Mail.ru Яндекс цитирования

Copyright © www.gostrf.com, 2008 - 2026