Крупнейшая бесплатная информационно-справочная система онлайн доступа к полному собранию технических нормативно-правовых актов РФ. Огромная база технических нормативов (более 150 тысяч документов) и полное собрание национальных стандартов, аутентичное официальной базе Госстандарта. GOSTRF.com - это более 1 Терабайта бесплатной технической информации для всех пользователей интернета. Все электронные копии представленных здесь документов могут распространяться без каких-либо ограничений. Поощряется распространение информации с этого сайта на любых других ресурсах. Каждый человек имеет право на неограниченный доступ к этим документам! Каждый человек имеет право на знание требований, изложенных в данных нормативно-правовых актах!

  


 

ГОСТ Р ИСО 3506-4-2009

Механические свойства крепежных изделий из коррозионно-стойкой нержавеющей стали. Часть 4. Самонарезающие винты

Обозначение:ГОСТ Р ИСО 3506-4-2009
Текущий статус документа: действующий
Название документа рус.:Механические свойства крепежных изделий из коррозионно-стойкой нержавеющей стали. Часть 4. Самонарезающие винты
Название документа англ.:Mechanical properties of corrosion-resistant stainless steel fasteners. Part 4. Tapping screws
Дата актуализации текста:01.12.2013
Дата издания:08.09.2010
Дата введения:01.01.2011
Дата последнего изменения:22.05.2013
Область применения:Настоящий стандарт устанавливает механические свойства самонарезающих винтов, изготовленных их аустенитных, мартенситных и ферритных коррозионно-стойких нержавеющих сталей при испытании в условиях с температурой окружающей среды от 15 град. С до 25 град. С. Механические свойства изменяются при повышении и понижении температуры.
Стандарт распространяется на самонарезающие винты с резьбой от ST2,2 до ST8 включительно по ИСО 1478.
Настоящий стандарт не распространяется на самонарезающие винты, со специальными свойствами, такие как свариваемость.
Настоящий стандарт не устанавливает требования к коррозионной стойкости в особых условиях окружающей среды. Определения коррозии и коррозионной стойкости - по ИСО 8044.
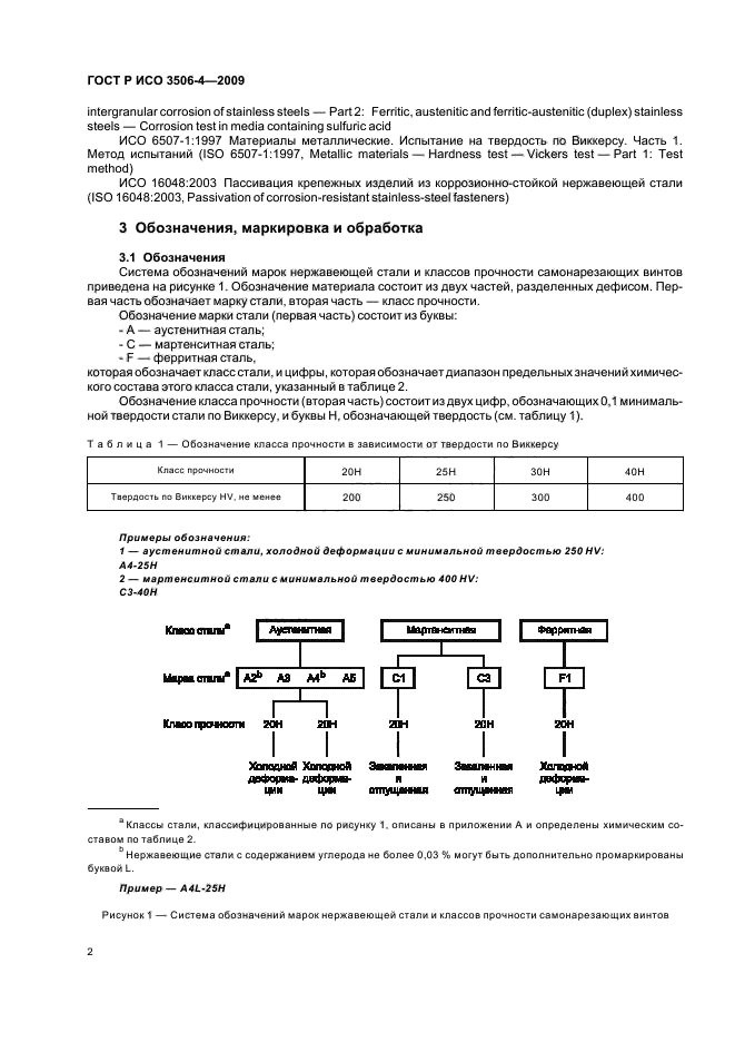
Настоящий стандарт устанавливает классификацию по классам прочности крепежных изделий из коррозионно-стойкой нержавеющей стали
ГОСТ Р ИСО 3506-4-2009ГОСТ Р ИСО 3506-4-2009ГОСТ Р ИСО 3506-4-2009ГОСТ Р ИСО 3506-4-2009ГОСТ Р ИСО 3506-4-2009ГОСТ Р ИСО 3506-4-2009ГОСТ Р ИСО 3506-4-2009ГОСТ Р ИСО 3506-4-2009ГОСТ Р ИСО 3506-4-2009ГОСТ Р ИСО 3506-4-2009ГОСТ Р ИСО 3506-4-2009ГОСТ Р ИСО 3506-4-2009ГОСТ Р ИСО 3506-4-2009ГОСТ Р ИСО 3506-4-2009ГОСТ Р ИСО 3506-4-2009ГОСТ Р ИСО 3506-4-2009ГОСТ Р ИСО 3506-4-2009ГОСТ Р ИСО 3506-4-2009ГОСТ Р ИСО 3506-4-2009ГОСТ Р ИСО 3506-4-2009
 




ГОСТЫ, СТРОИТЕЛЬНЫЕ и ТЕХНИЧЕСКИЕ НОРМАТИВЫ.
Некоммерческая онлайн система, содержащая все Российские Госты, национальные Стандарты и нормативы.
В Системе содержится более 150000 файлов нормативно-технической документации, действующей на территории РФ.
Система предназначена для широкого круга инженерно-технических специалистов.

Рейтинг@Mail.ru Яндекс цитирования

Copyright © www.gostrf.com, 2008 - 2026