Крупнейшая бесплатная информационно-справочная система онлайн доступа к полному собранию технических нормативно-правовых актов РФ. Огромная база технических нормативов (более 150 тысяч документов) и полное собрание национальных стандартов, аутентичное официальной базе Госстандарта. GOSTRF.com - это более 1 Терабайта бесплатной технической информации для всех пользователей интернета. Все электронные копии представленных здесь документов могут распространяться без каких-либо ограничений. Поощряется распространение информации с этого сайта на любых других ресурсах. Каждый человек имеет право на неограниченный доступ к этим документам! Каждый человек имеет право на знание требований, изложенных в данных нормативно-правовых актах!

  


 

ГОСТ Р 53448-2009

Лодки надувные. Часть 3. Лодки с мощностью мотора не менее 15 кВт

Обозначение:ГОСТ Р 53448-2009
Текущий статус документа: действующий
Название документа рус.:Лодки надувные. Часть 3. Лодки с мощностью мотора не менее 15 кВт
Название документа англ.:Inflatable boаts - Part 3: Boats with motor power rating not less than 15 kW
Дата актуализации текста:01.12.2013
Дата издания:03.09.2010
Дата введения:30.06.2010
Дата последнего изменения:20.06.2013
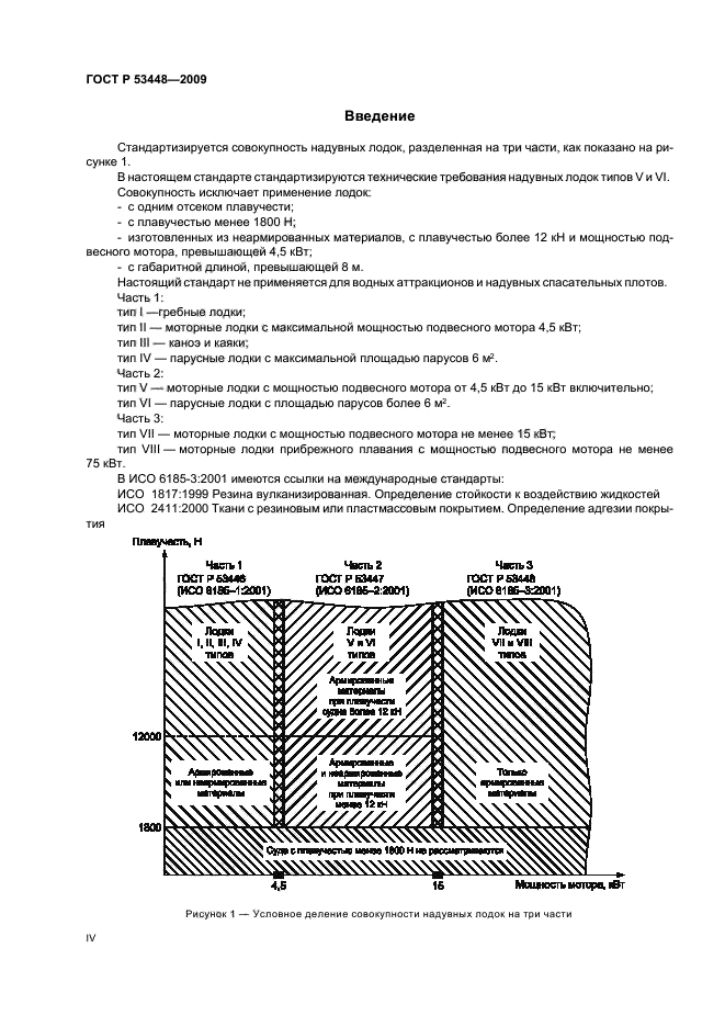
Область применения:Настоящий стандарт устанавливает минимальные требования по безопасности, предъявляемые к применяемым материалам, изготовлению и испытанию надувных лодок (включая жесткие надувные лодки) с габаритной длиной корпуса менее 8 м и минимальной плавучестью свыше 1800 Н.
Настоящий стандарт применим к следующим типам надувных лодок, предназначенных для эксплуатации при температурах воздуха от минус 20 град. C до плюс 60 град C:
Тип VII - надувные лодки, способные выдерживать мощность мотора не менее 15 кВт;
Тип VIII - надувные лодки прибрежного плавания, способные выдерживать мощность мотора свыше 75 кВт и с коэффициентом остойчивости более 250
ГОСТ Р 53448-2009ГОСТ Р 53448-2009ГОСТ Р 53448-2009ГОСТ Р 53448-2009ГОСТ Р 53448-2009ГОСТ Р 53448-2009ГОСТ Р 53448-2009ГОСТ Р 53448-2009ГОСТ Р 53448-2009ГОСТ Р 53448-2009ГОСТ Р 53448-2009ГОСТ Р 53448-2009ГОСТ Р 53448-2009ГОСТ Р 53448-2009ГОСТ Р 53448-2009ГОСТ Р 53448-2009ГОСТ Р 53448-2009ГОСТ Р 53448-2009ГОСТ Р 53448-2009ГОСТ Р 53448-2009ГОСТ Р 53448-2009ГОСТ Р 53448-2009ГОСТ Р 53448-2009ГОСТ Р 53448-2009
 




ГОСТЫ, СТРОИТЕЛЬНЫЕ и ТЕХНИЧЕСКИЕ НОРМАТИВЫ.
Некоммерческая онлайн система, содержащая все Российские Госты, национальные Стандарты и нормативы.
В Системе содержится более 150000 файлов нормативно-технической документации, действующей на территории РФ.
Система предназначена для широкого круга инженерно-технических специалистов.

Рейтинг@Mail.ru Яндекс цитирования

Copyright © www.gostrf.com, 2008 - 2026