Крупнейшая бесплатная информационно-справочная система онлайн доступа к полному собранию технических нормативно-правовых актов РФ. Огромная база технических нормативов (более 150 тысяч документов) и полное собрание национальных стандартов, аутентичное официальной базе Госстандарта. GOSTRF.com - это более 1 Терабайта бесплатной технической информации для всех пользователей интернета. Все электронные копии представленных здесь документов могут распространяться без каких-либо ограничений. Поощряется распространение информации с этого сайта на любых других ресурсах. Каждый человек имеет право на неограниченный доступ к этим документам! Каждый человек имеет право на знание требований, изложенных в данных нормативно-правовых актах!

  


 

ГОСТ Р 53395-2009

Информатизация здоровья. Основные положения

Обозначение:ГОСТ Р 53395-2009
Текущий статус документа: действующий
Название документа рус.:Информатизация здоровья. Основные положения
Название документа англ.:Health informatics. Basic regulations
Дата актуализации текста:01.12.2013
Дата издания:27.08.2010
Дата введения:30.06.2010
Дата последнего изменения:20.06.2013
Область применения:Настоящий стандарт устанавливает общие для Российской Федерации положения комплекса национальных стандартов информатизации сферы здравоохранения и определяет для этого комплекса:
- основные цели и задачи стандартизации;
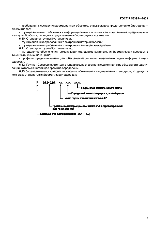
- организацию работ по стандартизации;
- структуру комплекса стандартов и их обозначения.
Настоящий стандарт предназначен для применения на всей территории Российской Федерации организациями, учреждениями, предприятиями всех форм собственности, коллективами и отдельными лицами, участвующими в разработке национальных стандартов информатизации здоровья и использующими их в работе; техническими комитетами по стандартизации; министерствами (ведомствами) и другими органами управления, осуществляющими планирование, организацию и проведение мероприятий по информатизации сферы здравоохранения
ГОСТ Р 53395-2009ГОСТ Р 53395-2009ГОСТ Р 53395-2009ГОСТ Р 53395-2009ГОСТ Р 53395-2009ГОСТ Р 53395-2009ГОСТ Р 53395-2009ГОСТ Р 53395-2009
 




ГОСТЫ, СТРОИТЕЛЬНЫЕ и ТЕХНИЧЕСКИЕ НОРМАТИВЫ.
Некоммерческая онлайн система, содержащая все Российские Госты, национальные Стандарты и нормативы.
В Системе содержится более 150000 файлов нормативно-технической документации, действующей на территории РФ.
Система предназначена для широкого круга инженерно-технических специалистов.

Рейтинг@Mail.ru Яндекс цитирования

Copyright © www.gostrf.com, 2008 - 2026