Крупнейшая бесплатная информационно-справочная система онлайн доступа к полному собранию технических нормативно-правовых актов РФ. Огромная база технических нормативов (более 150 тысяч документов) и полное собрание национальных стандартов, аутентичное официальной базе Госстандарта. GOSTRF.com - это более 1 Терабайта бесплатной технической информации для всех пользователей интернета. Все электронные копии представленных здесь документов могут распространяться без каких-либо ограничений. Поощряется распространение информации с этого сайта на любых других ресурсах. Каждый человек имеет право на неограниченный доступ к этим документам! Каждый человек имеет право на знание требований, изложенных в данных нормативно-правовых актах!

  


 

ГОСТ Р 53699-2009

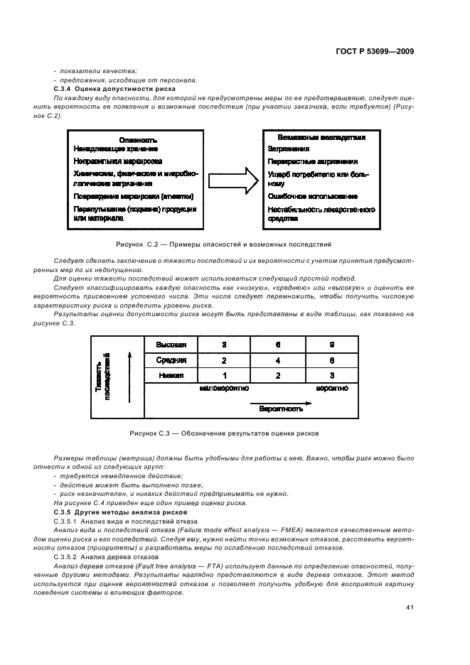
Первичные упаковочные материалы для лекарственных средств. Частные требования по применению ГОСТ Р ИСО 9001-2008 с учетом правил GMP

Обозначение:ГОСТ Р 53699-2009
Текущий статус документа: действующий
Название документа рус.:Первичные упаковочные материалы для лекарственных средств. Частные требования по применению ГОСТ Р ИСО 9001-2008 с учетом правил GMP
Название документа англ.:Primary packaging materials for medicinal products. Particular requirements for the application of ISO 9001:2008, with reference to Good Manufacturing Practice (GMP)
Дата актуализации текста:01.12.2013
Дата издания:27.09.2010
Дата введения:31.07.2010
Дата последнего изменения:15.07.2013
Область применения:Стандарт устанавливает требования к системе обеспечения качества при производстве первичных упаковочных материалов для лекарственных средств с учетом требований потребителя и нормативных документов.
Словосочетание “при необходимости“, используемое в настоящем стандарте, означает, что требование следует выполнять, за исключением случаев, когда ненужность этого требования подтверждена документально.
Стандарт применяется при разработке, изготовлении и поставке первичных упаковочных материалов для лекарственных средств, а также для целей сертификации
ГОСТ Р 53699-2009ГОСТ Р 53699-2009ГОСТ Р 53699-2009ГОСТ Р 53699-2009ГОСТ Р 53699-2009ГОСТ Р 53699-2009ГОСТ Р 53699-2009ГОСТ Р 53699-2009ГОСТ Р 53699-2009ГОСТ Р 53699-2009ГОСТ Р 53699-2009ГОСТ Р 53699-2009ГОСТ Р 53699-2009ГОСТ Р 53699-2009ГОСТ Р 53699-2009ГОСТ Р 53699-2009ГОСТ Р 53699-2009ГОСТ Р 53699-2009ГОСТ Р 53699-2009ГОСТ Р 53699-2009ГОСТ Р 53699-2009ГОСТ Р 53699-2009ГОСТ Р 53699-2009ГОСТ Р 53699-2009ГОСТ Р 53699-2009ГОСТ Р 53699-2009ГОСТ Р 53699-2009ГОСТ Р 53699-2009ГОСТ Р 53699-2009ГОСТ Р 53699-2009ГОСТ Р 53699-2009ГОСТ Р 53699-2009ГОСТ Р 53699-2009ГОСТ Р 53699-2009ГОСТ Р 53699-2009ГОСТ Р 53699-2009ГОСТ Р 53699-2009ГОСТ Р 53699-2009ГОСТ Р 53699-2009ГОСТ Р 53699-2009ГОСТ Р 53699-2009ГОСТ Р 53699-2009ГОСТ Р 53699-2009ГОСТ Р 53699-2009ГОСТ Р 53699-2009ГОСТ Р 53699-2009ГОСТ Р 53699-2009ГОСТ Р 53699-2009ГОСТ Р 53699-2009ГОСТ Р 53699-2009ГОСТ Р 53699-2009ГОСТ Р 53699-2009ГОСТ Р 53699-2009ГОСТ Р 53699-2009
 




ГОСТЫ, СТРОИТЕЛЬНЫЕ и ТЕХНИЧЕСКИЕ НОРМАТИВЫ.
Некоммерческая онлайн система, содержащая все Российские Госты, национальные Стандарты и нормативы.
В Системе содержится более 150000 файлов нормативно-технической документации, действующей на территории РФ.
Система предназначена для широкого круга инженерно-технических специалистов.

Рейтинг@Mail.ru Яндекс цитирования

Copyright © www.gostrf.com, 2008 - 2026