Крупнейшая бесплатная информационно-справочная система онлайн доступа к полному собранию технических нормативно-правовых актов РФ. Огромная база технических нормативов (более 150 тысяч документов) и полное собрание национальных стандартов, аутентичное официальной базе Госстандарта. GOSTRF.com - это более 1 Терабайта бесплатной технической информации для всех пользователей интернета. Все электронные копии представленных здесь документов могут распространяться без каких-либо ограничений. Поощряется распространение информации с этого сайта на любых других ресурсах. Каждый человек имеет право на неограниченный доступ к этим документам! Каждый человек имеет право на знание требований, изложенных в данных нормативно-правовых актах!

  


 

ГОСТ Р ИСО 21549-3-2009

Информатизация здоровья. Структура данных на пластиковой карте пациента. Часть 3. Основные клинические данные

Обозначение:ГОСТ Р ИСО 21549-3-2009
Текущий статус документа: действующий
Название документа рус.:Информатизация здоровья. Структура данных на пластиковой карте пациента. Часть 3. Основные клинические данные
Название документа англ.:Health informatics. Patient plastic healthcard data. Part 3. Limited clinical data
Дата актуализации текста:01.12.2013
Дата издания:23.09.2010
Дата введения:01.07.2010
Дата последнего изменения:22.05.2013
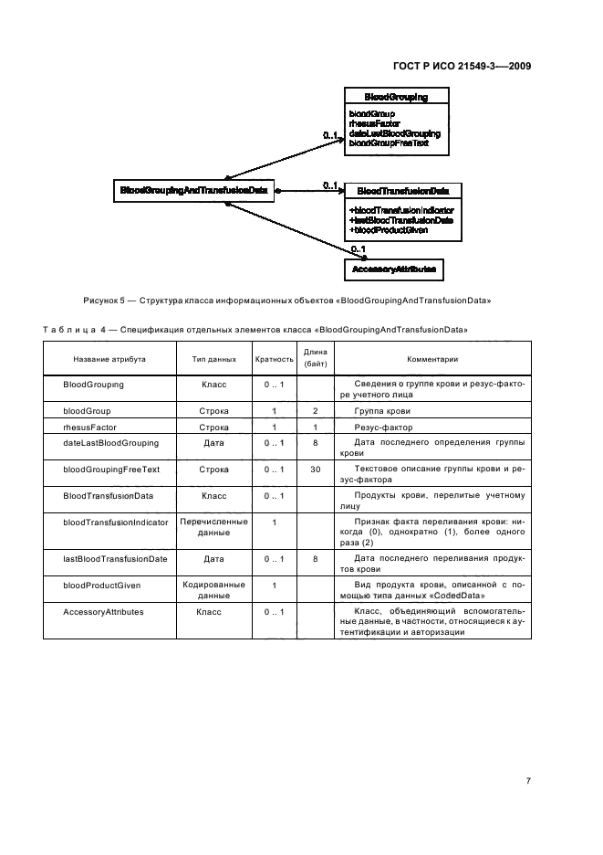
Область применения:В настоящем стандарте с помощью унифицированного языка моделирования (UML), текста и абстрактной синтаксической нотации (ASN.1) описываются и определяются информационные объекты основных клинических данных, которые используются по значению или по ссылке непосредственно в пластиковых картах пациентов.
Настоящий стандарт применим в случаях, когда такие данные записываются на пластиковые карты, физические размеры которых совпадают с теми, что описаны для карт типа ID-1 в ISO/IEC 7810:2003.
Настоящий стандарт определяет базовую структуру данных, содержащихся в информационном объекте основных клинических данных, но не определяет и не задает специфичные структуры данных, предназначенные для хранения на пластиковых картах. В частности, информационный объект основных клинических данных предназначен для использования при оказании скорой и неотложной медицинской помощи, но при этом он не рассчитан на то, что эти данные будут достаточными.
В область применения настоящего стандарта не входит подробное описание следующих функций и механизмов их реализации (хотя описанные в нем структуры могут содержать релевантные информационные объекты, определенные в других документах):
- кодирования текстовых данных;
- функции и процедуры информационной безопасности, которые могут задаваться пользователями для пластиковых карт в зависимости от их конкретного применения, как например, защита конфиденциальной информации, обеспечение целостности данных, аутентификация пользователей и устройств, имеющих отношение к этим функциям;
- службы управления доступом, которые могут зависеть от активного использования некоторых классов пластиковых типов карт, например, микропроцессорных карт;
- процедуры инициализации и персонализации (с которых начинается жизненный цикл конкретной пластиковой карты и с помощью которых карта подготавливается к последующей записи данных в соответствии с настоящим стандартом).
В область применения настоящего стандарта не входят также:
- физические или логические решения по практическому функционированию конкретных типов пластиковых карт;
- дальнейшая обработка сообщений за пределами интерфейса между двумя системами;
- определение формы, которую принимают данные при их использовании вне пластиковой карты, или способа их визуального представления на пластиковой карте или где-либо еще
ГОСТ Р ИСО 21549-3-2009ГОСТ Р ИСО 21549-3-2009ГОСТ Р ИСО 21549-3-2009ГОСТ Р ИСО 21549-3-2009ГОСТ Р ИСО 21549-3-2009ГОСТ Р ИСО 21549-3-2009ГОСТ Р ИСО 21549-3-2009ГОСТ Р ИСО 21549-3-2009ГОСТ Р ИСО 21549-3-2009ГОСТ Р ИСО 21549-3-2009ГОСТ Р ИСО 21549-3-2009ГОСТ Р ИСО 21549-3-2009ГОСТ Р ИСО 21549-3-2009ГОСТ Р ИСО 21549-3-2009ГОСТ Р ИСО 21549-3-2009ГОСТ Р ИСО 21549-3-2009
 




ГОСТЫ, СТРОИТЕЛЬНЫЕ и ТЕХНИЧЕСКИЕ НОРМАТИВЫ.
Некоммерческая онлайн система, содержащая все Российские Госты, национальные Стандарты и нормативы.
В Системе содержится более 150000 файлов нормативно-технической документации, действующей на территории РФ.
Система предназначена для широкого круга инженерно-технических специалистов.

Рейтинг@Mail.ru Яндекс цитирования

Copyright © www.gostrf.com, 2008 - 2026