Крупнейшая бесплатная информационно-справочная система онлайн доступа к полному собранию технических нормативно-правовых актов РФ. Огромная база технических нормативов (более 150 тысяч документов) и полное собрание национальных стандартов, аутентичное официальной базе Госстандарта. GOSTRF.com - это более 1 Терабайта бесплатной технической информации для всех пользователей интернета. Все электронные копии представленных здесь документов могут распространяться без каких-либо ограничений. Поощряется распространение информации с этого сайта на любых других ресурсах. Каждый человек имеет право на неограниченный доступ к этим документам! Каждый человек имеет право на знание требований, изложенных в данных нормативно-правовых актах!

  


 

ГОСТ Р ИСО 10303-518-2009

Системы автоматизации производства и их интеграция. Представление данных об изделии и обмен этими данными. Часть 518. Прикладные интерпретированные конструкции. Теневое представление механических конструкций

Обозначение:ГОСТ Р ИСО 10303-518-2009
Текущий статус документа: действующий
Название документа рус.:Системы автоматизации производства и их интеграция. Представление данных об изделии и обмен этими данными. Часть 518. Прикладные интерпретированные конструкции. Теневое представление механических конструкций
Название документа англ.:Industrial automation systems and integration. Product data representation and exchange. Part 518. Application interpreted construct. Mechanical design shaded presentation
Дата актуализации текста:01.12.2013
Дата издания:20.10.2010
Дата введения:01.07.2010
Дата последнего изменения:22.05.2013
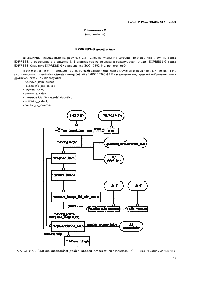
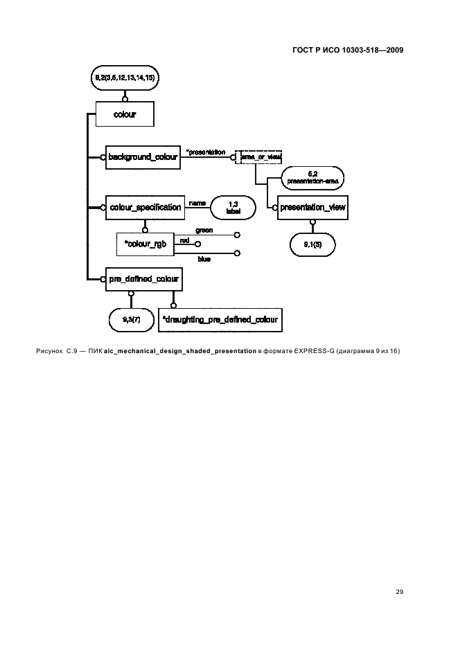
Область применения:Настоящий стандарт определяет интерпретацию интегрированных ресурсов, обеспечивающую соответствие требованиям к описанию визуального представления формы с затенениями. Основные атрибуты представления, например цвет, могут быть связаны с точками, кривыми, поверхностями и топологическими конструкциями. Расширенные свойства визуализации, например, отражательная способность и прозрачность поверхности, могут быть применены к кривым и поверхностям. Описание аннотаций не приводится.
Требования настоящего стандарта распространяются на:
- визуальное представление форм механических конструкций;
- присвоение атрибутов визуального представления геометрическим и топологическим элементам;
- алгоритмы проецирования трехмерных форм на плоскости;
- размещение проекций формы в окне;
- несколько видов в пределах одного окна;
- цвет фона окна;
- удаление невидимых линий и поверхностей;
- источники света;
- цвет точек, кривых и поверхностей;
- шрифт точек;
- шрифт кривых;
- стили кривых, зависящие от назначения кривых в определении поверхности;
- цвет поверхностей с затенением и без затенения;
- характеристики поверхности, например, прозрачность и отражательная способность;
- предопределенные цвета;
- предопределенные стили кривых.
Требования настоящего стандарта не распространяются на:
- представление аннотаций, то есть текста и символов;
- распределение геометрических элементов по слоям;
- множественные окна;
- представление изделий
ГОСТ Р ИСО 10303-518-2009ГОСТ Р ИСО 10303-518-2009ГОСТ Р ИСО 10303-518-2009ГОСТ Р ИСО 10303-518-2009ГОСТ Р ИСО 10303-518-2009ГОСТ Р ИСО 10303-518-2009ГОСТ Р ИСО 10303-518-2009ГОСТ Р ИСО 10303-518-2009ГОСТ Р ИСО 10303-518-2009ГОСТ Р ИСО 10303-518-2009ГОСТ Р ИСО 10303-518-2009ГОСТ Р ИСО 10303-518-2009ГОСТ Р ИСО 10303-518-2009ГОСТ Р ИСО 10303-518-2009ГОСТ Р ИСО 10303-518-2009ГОСТ Р ИСО 10303-518-2009ГОСТ Р ИСО 10303-518-2009ГОСТ Р ИСО 10303-518-2009ГОСТ Р ИСО 10303-518-2009ГОСТ Р ИСО 10303-518-2009ГОСТ Р ИСО 10303-518-2009ГОСТ Р ИСО 10303-518-2009ГОСТ Р ИСО 10303-518-2009ГОСТ Р ИСО 10303-518-2009ГОСТ Р ИСО 10303-518-2009ГОСТ Р ИСО 10303-518-2009ГОСТ Р ИСО 10303-518-2009ГОСТ Р ИСО 10303-518-2009ГОСТ Р ИСО 10303-518-2009ГОСТ Р ИСО 10303-518-2009ГОСТ Р ИСО 10303-518-2009ГОСТ Р ИСО 10303-518-2009ГОСТ Р ИСО 10303-518-2009ГОСТ Р ИСО 10303-518-2009ГОСТ Р ИСО 10303-518-2009ГОСТ Р ИСО 10303-518-2009ГОСТ Р ИСО 10303-518-2009ГОСТ Р ИСО 10303-518-2009ГОСТ Р ИСО 10303-518-2009ГОСТ Р ИСО 10303-518-2009ГОСТ Р ИСО 10303-518-2009ГОСТ Р ИСО 10303-518-2009ГОСТ Р ИСО 10303-518-2009
 




ГОСТЫ, СТРОИТЕЛЬНЫЕ и ТЕХНИЧЕСКИЕ НОРМАТИВЫ.
Некоммерческая онлайн система, содержащая все Российские Госты, национальные Стандарты и нормативы.
В Системе содержится более 150000 файлов нормативно-технической документации, действующей на территории РФ.
Система предназначена для широкого круга инженерно-технических специалистов.

Рейтинг@Mail.ru Яндекс цитирования

Copyright © www.gostrf.com, 2008 - 2026