Крупнейшая бесплатная информационно-справочная система онлайн доступа к полному собранию технических нормативно-правовых актов РФ. Огромная база технических нормативов (более 150 тысяч документов) и полное собрание национальных стандартов, аутентичное официальной базе Госстандарта. GOSTRF.com - это более 1 Терабайта бесплатной технической информации для всех пользователей интернета. Все электронные копии представленных здесь документов могут распространяться без каких-либо ограничений. Поощряется распространение информации с этого сайта на любых других ресурсах. Каждый человек имеет право на неограниченный доступ к этим документам! Каждый человек имеет право на знание требований, изложенных в данных нормативно-правовых актах!

  


 

ГОСТ Р ИСО 3580-2009

Материалы сварочные. Электроды покрытые для ручной дуговой сварки жаропрочных сталей. Классификация

Обозначение:ГОСТ Р ИСО 3580-2009
Текущий статус документа: действующий
Название документа рус.:Материалы сварочные. Электроды покрытые для ручной дуговой сварки жаропрочных сталей. Классификация
Название документа англ.:Welding consumables. Covered electrodes for manual metal arс welding of creep-resisting steels. Classification
Дата актуализации текста:01.12.2013
Дата издания:25.11.2010
Дата введения:01.01.2011
Дата последнего изменения:22.05.2013
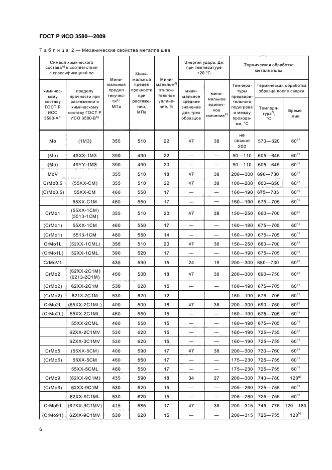
Область применения:Настоящий стандарт определяет требования к классификации покрытых электродов, основанной на испытаниях термически обработанного металла шва, для ручной дуговой сварки ферритных и мартенситных жаропрочных и низколегированных сталей, работающих при повышенной температуре.
Настоящий стандарт содержит технические требования для классификации, использующей методы, основанные на химическом составе металла шва с требованиями по пределу текучести металла шва и средней энергии удара 47 Дж (метод А) и по пределу прочности при растяжении и химическому составу металла шва (метод B)
ГОСТ Р ИСО 3580-2009ГОСТ Р ИСО 3580-2009ГОСТ Р ИСО 3580-2009ГОСТ Р ИСО 3580-2009ГОСТ Р ИСО 3580-2009ГОСТ Р ИСО 3580-2009ГОСТ Р ИСО 3580-2009ГОСТ Р ИСО 3580-2009ГОСТ Р ИСО 3580-2009ГОСТ Р ИСО 3580-2009ГОСТ Р ИСО 3580-2009ГОСТ Р ИСО 3580-2009ГОСТ Р ИСО 3580-2009ГОСТ Р ИСО 3580-2009ГОСТ Р ИСО 3580-2009ГОСТ Р ИСО 3580-2009ГОСТ Р ИСО 3580-2009ГОСТ Р ИСО 3580-2009ГОСТ Р ИСО 3580-2009ГОСТ Р ИСО 3580-2009ГОСТ Р ИСО 3580-2009ГОСТ Р ИСО 3580-2009ГОСТ Р ИСО 3580-2009ГОСТ Р ИСО 3580-2009
 




ГОСТЫ, СТРОИТЕЛЬНЫЕ и ТЕХНИЧЕСКИЕ НОРМАТИВЫ.
Некоммерческая онлайн система, содержащая все Российские Госты, национальные Стандарты и нормативы.
В Системе содержится более 150000 файлов нормативно-технической документации, действующей на территории РФ.
Система предназначена для широкого круга инженерно-технических специалистов.

Рейтинг@Mail.ru Яндекс цитирования

Copyright © www.gostrf.com, 2008 - 2026