Крупнейшая бесплатная информационно-справочная система онлайн доступа к полному собранию технических нормативно-правовых актов РФ. Огромная база технических нормативов (более 150 тысяч документов) и полное собрание национальных стандартов, аутентичное официальной базе Госстандарта. GOSTRF.com - это более 1 Терабайта бесплатной технической информации для всех пользователей интернета. Все электронные копии представленных здесь документов могут распространяться без каких-либо ограничений. Поощряется распространение информации с этого сайта на любых других ресурсах. Каждый человек имеет право на неограниченный доступ к этим документам! Каждый человек имеет право на знание требований, изложенных в данных нормативно-правовых актах!

  


 

ГОСТ Р ЕН 1834-1-2010

Двигатели внутреннего сгорания поршневые. Требования безопасности к двигателям, предназначенным для применения в потенциально взрывоопасных средах. Часть 1. Двигатели Группы II для применения в средах, содержащих горючий газ и пар

Обозначение:ГОСТ Р ЕН 1834-1-2010
Текущий статус документа: отменён
Название документа рус.:Двигатели внутреннего сгорания поршневые. Требования безопасности к двигателям, предназначенным для применения в потенциально взрывоопасных средах. Часть 1. Двигатели Группы II для применения в средах, содержащих горючий газ и пар
Название документа англ.:Reciprocating internal combustion engines. Safety requirements for engines, intended for use in potentially explosive atmospheres. Part 1. Group II engines for use in flammable gas and vapour atmospheres
Дата актуализации текста:01.12.2013
Дата издания:27.10.2010
Дата введения:01.07.2011
Дата последнего изменения:22.05.2013
Дата окончания срока действия:15.02.2013
Область применения:Настоящий стандарт устанавливает требования безопасности и/или меры по обеспечению безопасности для устранения опасностей и снижения рисков, связанных с применением поршневых двигателей внутреннего сгорания с воспламенением от сжатия Группы II, с уровнями взрывозащиты Gb и Gc, предназначенных для применения в потенциально взрывоопасных средах, содержащих горючий газ и пар.
Настоящий стандарт не распространяется на двигатели с искровой системой зажигания.
Настоящий стандарт не распространяется на двигатели, предназначенные для применения в средах горючего газа и пара, содержащих сероуглерод (CS с индексом 2).
Настоящий стандарт не распространяется на двигатели, применяемые в помещениях для обработки, изготовления или хранения взрывчатых веществ.
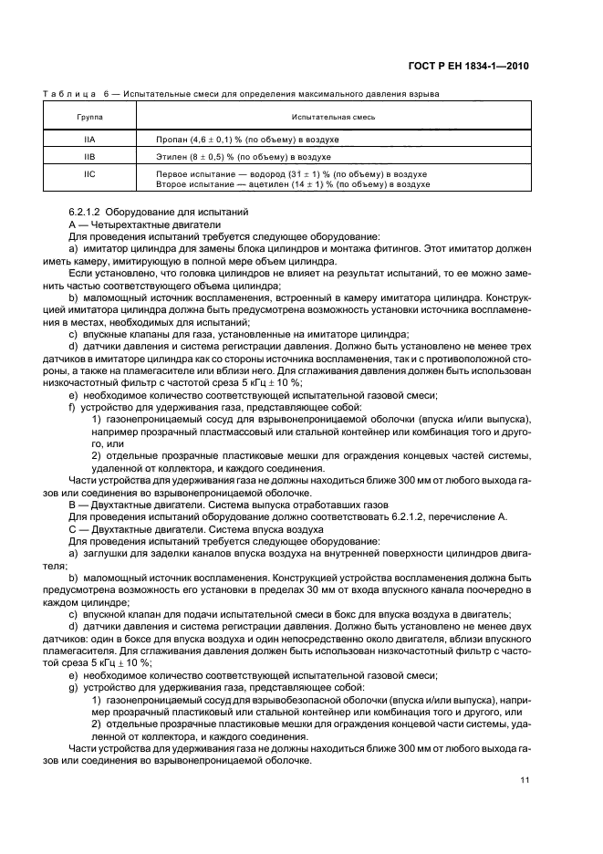
В настоящем стандарте установлены методы необходимых испытаний двигателей и их вспомогательных устройств для проверки безопасности в соответствии с перечнем приведенным в разделе 4
Список изменений:№0 от 15.02.2013 (рег. 22.12.2011) «Текстовое изменение; Изменено заглавие»
ГОСТ Р ЕН 1834-1-2010ГОСТ Р ЕН 1834-1-2010ГОСТ Р ЕН 1834-1-2010ГОСТ Р ЕН 1834-1-2010ГОСТ Р ЕН 1834-1-2010ГОСТ Р ЕН 1834-1-2010ГОСТ Р ЕН 1834-1-2010ГОСТ Р ЕН 1834-1-2010ГОСТ Р ЕН 1834-1-2010ГОСТ Р ЕН 1834-1-2010ГОСТ Р ЕН 1834-1-2010ГОСТ Р ЕН 1834-1-2010ГОСТ Р ЕН 1834-1-2010ГОСТ Р ЕН 1834-1-2010ГОСТ Р ЕН 1834-1-2010ГОСТ Р ЕН 1834-1-2010ГОСТ Р ЕН 1834-1-2010ГОСТ Р ЕН 1834-1-2010ГОСТ Р ЕН 1834-1-2010ГОСТ Р ЕН 1834-1-2010ГОСТ Р ЕН 1834-1-2010ГОСТ Р ЕН 1834-1-2010ГОСТ Р ЕН 1834-1-2010ГОСТ Р ЕН 1834-1-2010ГОСТ Р ЕН 1834-1-2010ГОСТ Р ЕН 1834-1-2010ГОСТ Р ЕН 1834-1-2010ГОСТ Р ЕН 1834-1-2010ГОСТ Р ЕН 1834-1-2010ГОСТ Р ЕН 1834-1-2010ГОСТ Р ЕН 1834-1-2010ГОСТ Р ЕН 1834-1-2010
 




ГОСТЫ, СТРОИТЕЛЬНЫЕ и ТЕХНИЧЕСКИЕ НОРМАТИВЫ.
Некоммерческая онлайн система, содержащая все Российские Госты, национальные Стандарты и нормативы.
В Системе содержится более 150000 файлов нормативно-технической документации, действующей на территории РФ.
Система предназначена для широкого круга инженерно-технических специалистов.

Рейтинг@Mail.ru Яндекс цитирования

Copyright © www.gostrf.com, 2008 - 2026