Крупнейшая бесплатная информационно-справочная система онлайн доступа к полному собранию технических нормативно-правовых актов РФ. Огромная база технических нормативов (более 150 тысяч документов) и полное собрание национальных стандартов, аутентичное официальной базе Госстандарта. GOSTRF.com - это более 1 Терабайта бесплатной технической информации для всех пользователей интернета. Все электронные копии представленных здесь документов могут распространяться без каких-либо ограничений. Поощряется распространение информации с этого сайта на любых других ресурсах. Каждый человек имеет право на неограниченный доступ к этим документам! Каждый человек имеет право на знание требований, изложенных в данных нормативно-правовых актах!

  


 

ГОСТ Р ИСО 10303-11-2009

Системы автоматизации производства и их интеграция. Представление данных об изделии и обмен этими данными. Часть 11. Методы описания. Справочное руководство по языку EXPRESS

Обозначение:ГОСТ Р ИСО 10303-11-2009
Текущий статус документа: действующий
Название документа рус.:Системы автоматизации производства и их интеграция. Представление данных об изделии и обмен этими данными. Часть 11. Методы описания. Справочное руководство по языку EXPRESS
Название документа англ.:Industrial automation systems and integration. Product data representation and exchange. Part 11. Description methods. The EXPRESS language reference manual
Дата актуализации текста:01.12.2013
Дата издания:02.11.2010
Дата введения:01.07.2010
Дата последнего изменения:22.05.2013
Область применения:В настоящем стандарте определен язык, посредством которого могут быть описаны данные об изделии. Данный язык называется EXPRESS.
В настоящем стандарте также определено графическое представление для подмножества конструкций языка EXPRESS. Данное графическое представление называется EXPRESS-G.
EXPRESS является языком определения данных, как это установлено в ИСО 10303-1. Данный язык состоит из элементов, которые позволяют однозначно определять данные и устанавливать ограничения на эти данные.
Область применения настоящего стандарта распространяется на:
- типы данных;
- ограничения на экземпляры типов данных.
Область применения настоящего стандарта не распространяется на:
- определение форматов баз данных;
- определение форматов файлов;
- определение форматов передачи;
- управление процессами;
- обработку информации;
- обработку исключительных ситуаций.
Язык EXPRESS не является языком программирования
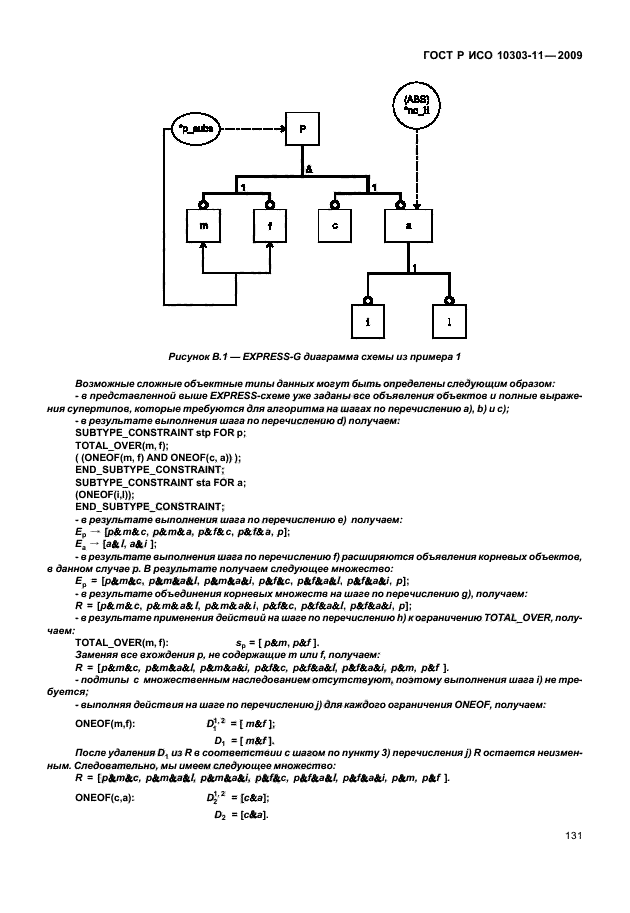
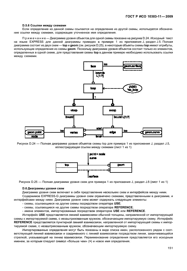
ГОСТ Р ИСО 10303-11-2009ГОСТ Р ИСО 10303-11-2009ГОСТ Р ИСО 10303-11-2009ГОСТ Р ИСО 10303-11-2009ГОСТ Р ИСО 10303-11-2009ГОСТ Р ИСО 10303-11-2009ГОСТ Р ИСО 10303-11-2009ГОСТ Р ИСО 10303-11-2009ГОСТ Р ИСО 10303-11-2009ГОСТ Р ИСО 10303-11-2009ГОСТ Р ИСО 10303-11-2009ГОСТ Р ИСО 10303-11-2009ГОСТ Р ИСО 10303-11-2009ГОСТ Р ИСО 10303-11-2009ГОСТ Р ИСО 10303-11-2009ГОСТ Р ИСО 10303-11-2009ГОСТ Р ИСО 10303-11-2009ГОСТ Р ИСО 10303-11-2009ГОСТ Р ИСО 10303-11-2009ГОСТ Р ИСО 10303-11-2009ГОСТ Р ИСО 10303-11-2009ГОСТ Р ИСО 10303-11-2009ГОСТ Р ИСО 10303-11-2009ГОСТ Р ИСО 10303-11-2009ГОСТ Р ИСО 10303-11-2009ГОСТ Р ИСО 10303-11-2009ГОСТ Р ИСО 10303-11-2009ГОСТ Р ИСО 10303-11-2009ГОСТ Р ИСО 10303-11-2009ГОСТ Р ИСО 10303-11-2009ГОСТ Р ИСО 10303-11-2009ГОСТ Р ИСО 10303-11-2009ГОСТ Р ИСО 10303-11-2009ГОСТ Р ИСО 10303-11-2009ГОСТ Р ИСО 10303-11-2009ГОСТ Р ИСО 10303-11-2009ГОСТ Р ИСО 10303-11-2009ГОСТ Р ИСО 10303-11-2009ГОСТ Р ИСО 10303-11-2009ГОСТ Р ИСО 10303-11-2009ГОСТ Р ИСО 10303-11-2009ГОСТ Р ИСО 10303-11-2009ГОСТ Р ИСО 10303-11-2009ГОСТ Р ИСО 10303-11-2009ГОСТ Р ИСО 10303-11-2009ГОСТ Р ИСО 10303-11-2009ГОСТ Р ИСО 10303-11-2009ГОСТ Р ИСО 10303-11-2009ГОСТ Р ИСО 10303-11-2009ГОСТ Р ИСО 10303-11-2009ГОСТ Р ИСО 10303-11-2009ГОСТ Р ИСО 10303-11-2009ГОСТ Р ИСО 10303-11-2009ГОСТ Р ИСО 10303-11-2009ГОСТ Р ИСО 10303-11-2009ГОСТ Р ИСО 10303-11-2009ГОСТ Р ИСО 10303-11-2009ГОСТ Р ИСО 10303-11-2009ГОСТ Р ИСО 10303-11-2009ГОСТ Р ИСО 10303-11-2009ГОСТ Р ИСО 10303-11-2009ГОСТ Р ИСО 10303-11-2009ГОСТ Р ИСО 10303-11-2009ГОСТ Р ИСО 10303-11-2009ГОСТ Р ИСО 10303-11-2009ГОСТ Р ИСО 10303-11-2009ГОСТ Р ИСО 10303-11-2009ГОСТ Р ИСО 10303-11-2009ГОСТ Р ИСО 10303-11-2009ГОСТ Р ИСО 10303-11-2009ГОСТ Р ИСО 10303-11-2009ГОСТ Р ИСО 10303-11-2009ГОСТ Р ИСО 10303-11-2009ГОСТ Р ИСО 10303-11-2009ГОСТ Р ИСО 10303-11-2009ГОСТ Р ИСО 10303-11-2009ГОСТ Р ИСО 10303-11-2009ГОСТ Р ИСО 10303-11-2009ГОСТ Р ИСО 10303-11-2009ГОСТ Р ИСО 10303-11-2009ГОСТ Р ИСО 10303-11-2009ГОСТ Р ИСО 10303-11-2009ГОСТ Р ИСО 10303-11-2009ГОСТ Р ИСО 10303-11-2009ГОСТ Р ИСО 10303-11-2009ГОСТ Р ИСО 10303-11-2009ГОСТ Р ИСО 10303-11-2009ГОСТ Р ИСО 10303-11-2009ГОСТ Р ИСО 10303-11-2009ГОСТ Р ИСО 10303-11-2009ГОСТ Р ИСО 10303-11-2009ГОСТ Р ИСО 10303-11-2009ГОСТ Р ИСО 10303-11-2009ГОСТ Р ИСО 10303-11-2009ГОСТ Р ИСО 10303-11-2009ГОСТ Р ИСО 10303-11-2009ГОСТ Р ИСО 10303-11-2009ГОСТ Р ИСО 10303-11-2009ГОСТ Р ИСО 10303-11-2009ГОСТ Р ИСО 10303-11-2009ГОСТ Р ИСО 10303-11-2009ГОСТ Р ИСО 10303-11-2009ГОСТ Р ИСО 10303-11-2009ГОСТ Р ИСО 10303-11-2009ГОСТ Р ИСО 10303-11-2009ГОСТ Р ИСО 10303-11-2009ГОСТ Р ИСО 10303-11-2009ГОСТ Р ИСО 10303-11-2009ГОСТ Р ИСО 10303-11-2009ГОСТ Р ИСО 10303-11-2009ГОСТ Р ИСО 10303-11-2009ГОСТ Р ИСО 10303-11-2009ГОСТ Р ИСО 10303-11-2009ГОСТ Р ИСО 10303-11-2009ГОСТ Р ИСО 10303-11-2009ГОСТ Р ИСО 10303-11-2009ГОСТ Р ИСО 10303-11-2009ГОСТ Р ИСО 10303-11-2009ГОСТ Р ИСО 10303-11-2009ГОСТ Р ИСО 10303-11-2009ГОСТ Р ИСО 10303-11-2009ГОСТ Р ИСО 10303-11-2009ГОСТ Р ИСО 10303-11-2009ГОСТ Р ИСО 10303-11-2009ГОСТ Р ИСО 10303-11-2009ГОСТ Р ИСО 10303-11-2009ГОСТ Р ИСО 10303-11-2009ГОСТ Р ИСО 10303-11-2009ГОСТ Р ИСО 10303-11-2009ГОСТ Р ИСО 10303-11-2009ГОСТ Р ИСО 10303-11-2009ГОСТ Р ИСО 10303-11-2009ГОСТ Р ИСО 10303-11-2009ГОСТ Р ИСО 10303-11-2009ГОСТ Р ИСО 10303-11-2009ГОСТ Р ИСО 10303-11-2009ГОСТ Р ИСО 10303-11-2009ГОСТ Р ИСО 10303-11-2009ГОСТ Р ИСО 10303-11-2009ГОСТ Р ИСО 10303-11-2009ГОСТ Р ИСО 10303-11-2009ГОСТ Р ИСО 10303-11-2009ГОСТ Р ИСО 10303-11-2009ГОСТ Р ИСО 10303-11-2009ГОСТ Р ИСО 10303-11-2009ГОСТ Р ИСО 10303-11-2009ГОСТ Р ИСО 10303-11-2009ГОСТ Р ИСО 10303-11-2009ГОСТ Р ИСО 10303-11-2009ГОСТ Р ИСО 10303-11-2009ГОСТ Р ИСО 10303-11-2009ГОСТ Р ИСО 10303-11-2009ГОСТ Р ИСО 10303-11-2009ГОСТ Р ИСО 10303-11-2009ГОСТ Р ИСО 10303-11-2009ГОСТ Р ИСО 10303-11-2009ГОСТ Р ИСО 10303-11-2009ГОСТ Р ИСО 10303-11-2009ГОСТ Р ИСО 10303-11-2009ГОСТ Р ИСО 10303-11-2009ГОСТ Р ИСО 10303-11-2009ГОСТ Р ИСО 10303-11-2009ГОСТ Р ИСО 10303-11-2009ГОСТ Р ИСО 10303-11-2009ГОСТ Р ИСО 10303-11-2009ГОСТ Р ИСО 10303-11-2009ГОСТ Р ИСО 10303-11-2009ГОСТ Р ИСО 10303-11-2009ГОСТ Р ИСО 10303-11-2009ГОСТ Р ИСО 10303-11-2009ГОСТ Р ИСО 10303-11-2009ГОСТ Р ИСО 10303-11-2009ГОСТ Р ИСО 10303-11-2009ГОСТ Р ИСО 10303-11-2009ГОСТ Р ИСО 10303-11-2009ГОСТ Р ИСО 10303-11-2009ГОСТ Р ИСО 10303-11-2009ГОСТ Р ИСО 10303-11-2009ГОСТ Р ИСО 10303-11-2009ГОСТ Р ИСО 10303-11-2009ГОСТ Р ИСО 10303-11-2009ГОСТ Р ИСО 10303-11-2009ГОСТ Р ИСО 10303-11-2009ГОСТ Р ИСО 10303-11-2009ГОСТ Р ИСО 10303-11-2009ГОСТ Р ИСО 10303-11-2009ГОСТ Р ИСО 10303-11-2009ГОСТ Р ИСО 10303-11-2009ГОСТ Р ИСО 10303-11-2009ГОСТ Р ИСО 10303-11-2009ГОСТ Р ИСО 10303-11-2009ГОСТ Р ИСО 10303-11-2009ГОСТ Р ИСО 10303-11-2009ГОСТ Р ИСО 10303-11-2009ГОСТ Р ИСО 10303-11-2009ГОСТ Р ИСО 10303-11-2009ГОСТ Р ИСО 10303-11-2009ГОСТ Р ИСО 10303-11-2009ГОСТ Р ИСО 10303-11-2009ГОСТ Р ИСО 10303-11-2009ГОСТ Р ИСО 10303-11-2009ГОСТ Р ИСО 10303-11-2009
 




ГОСТЫ, СТРОИТЕЛЬНЫЕ и ТЕХНИЧЕСКИЕ НОРМАТИВЫ.
Некоммерческая онлайн система, содержащая все Российские Госты, национальные Стандарты и нормативы.
В Системе содержится более 150000 файлов нормативно-технической документации, действующей на территории РФ.
Система предназначена для широкого круга инженерно-технических специалистов.

Рейтинг@Mail.ru Яндекс цитирования

Copyright © www.gostrf.com, 2008 - 2026