Крупнейшая бесплатная информационно-справочная система онлайн доступа к полному собранию технических нормативно-правовых актов РФ. Огромная база технических нормативов (более 150 тысяч документов) и полное собрание национальных стандартов, аутентичное официальной базе Госстандарта. GOSTRF.com - это более 1 Терабайта бесплатной технической информации для всех пользователей интернета. Все электронные копии представленных здесь документов могут распространяться без каких-либо ограничений. Поощряется распространение информации с этого сайта на любых других ресурсах. Каждый человек имеет право на неограниченный доступ к этим документам! Каждый человек имеет право на знание требований, изложенных в данных нормативно-правовых актах!

  


 

ГОСТ Р ИСО 24511-2009

Деятельность, связанная с услугами питьевого водоснабжения и удаления сточных вод. Руководящие указания для менеджмента коммунальных предприятий и оценке услуг удаления сточных вод

Обозначение:ГОСТ Р ИСО 24511-2009
Текущий статус документа: действующий
Название документа рус.:Деятельность, связанная с услугами питьевого водоснабжения и удаления сточных вод. Руководящие указания для менеджмента коммунальных предприятий и оценке услуг удаления сточных вод
Название документа англ.:Activities relating to drinking water and wastewater services. Guidelines for the management of wastewater utilities and for the assessment of wastewater services
Дата актуализации текста:01.12.2013
Дата издания:21.01.2011
Дата введения:01.01.2011
Дата последнего изменения:22.05.2013
Область применения:Настоящий стандарт содержит указания по менеджменту систем удаления сточных вод и по оценке услуг по удалению сточных вод.
Настоящий стандарт применим к системам удаления сточных вод, находящимся в государственной или частной собственности и под государственным или частным управлением. В нем не отдается предпочтение какой-либо конкретной модели собственности или эксплуатации.
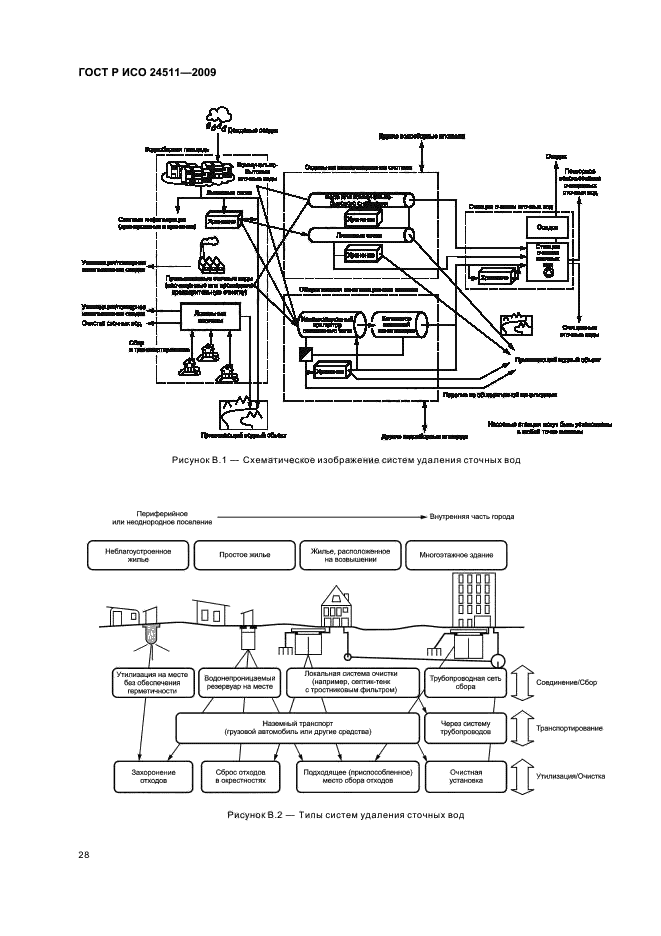
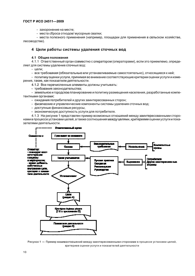
В настоящем стандарте системы удаления сточных вод рассматриваются как единое целое, и он применим к системам на любом уровне развития (например, к надворным уборным, локальным системам, сетям, очистным сооружениям).
Настоящим стандартом регламентируются следующие вопросы:
- определение языка, являющегося общим для разных заинтересованных сторон;
- цели системы удаления сточных вод;
- указания по менеджменту системы удаления сточных вод;
- критерии оценки услуги и связанные с ними примеры показателей деятельности без определения каких-либо целевых или пороговых значений.
В настоящем стандарте не рассматриваются следующие вопросы:
- методы проектирования и строительства систем удаления сточных вод;
- регулирование структуры управления и методология осуществления и менеджмента мероприятий по удалению сточных вод;
- регулирование содержания контрактов или субконтрактов;
- темы, связанные с системами, расположенными внутри зданий, между точкой сброса и точкой сбора
ГОСТ Р ИСО 24511-2009ГОСТ Р ИСО 24511-2009ГОСТ Р ИСО 24511-2009ГОСТ Р ИСО 24511-2009ГОСТ Р ИСО 24511-2009ГОСТ Р ИСО 24511-2009ГОСТ Р ИСО 24511-2009ГОСТ Р ИСО 24511-2009ГОСТ Р ИСО 24511-2009ГОСТ Р ИСО 24511-2009ГОСТ Р ИСО 24511-2009ГОСТ Р ИСО 24511-2009ГОСТ Р ИСО 24511-2009ГОСТ Р ИСО 24511-2009ГОСТ Р ИСО 24511-2009ГОСТ Р ИСО 24511-2009ГОСТ Р ИСО 24511-2009ГОСТ Р ИСО 24511-2009ГОСТ Р ИСО 24511-2009ГОСТ Р ИСО 24511-2009ГОСТ Р ИСО 24511-2009ГОСТ Р ИСО 24511-2009ГОСТ Р ИСО 24511-2009ГОСТ Р ИСО 24511-2009ГОСТ Р ИСО 24511-2009ГОСТ Р ИСО 24511-2009ГОСТ Р ИСО 24511-2009ГОСТ Р ИСО 24511-2009ГОСТ Р ИСО 24511-2009ГОСТ Р ИСО 24511-2009ГОСТ Р ИСО 24511-2009ГОСТ Р ИСО 24511-2009ГОСТ Р ИСО 24511-2009ГОСТ Р ИСО 24511-2009ГОСТ Р ИСО 24511-2009ГОСТ Р ИСО 24511-2009ГОСТ Р ИСО 24511-2009ГОСТ Р ИСО 24511-2009ГОСТ Р ИСО 24511-2009ГОСТ Р ИСО 24511-2009ГОСТ Р ИСО 24511-2009ГОСТ Р ИСО 24511-2009ГОСТ Р ИСО 24511-2009ГОСТ Р ИСО 24511-2009ГОСТ Р ИСО 24511-2009ГОСТ Р ИСО 24511-2009ГОСТ Р ИСО 24511-2009ГОСТ Р ИСО 24511-2009ГОСТ Р ИСО 24511-2009ГОСТ Р ИСО 24511-2009
 




ГОСТЫ, СТРОИТЕЛЬНЫЕ и ТЕХНИЧЕСКИЕ НОРМАТИВЫ.
Некоммерческая онлайн система, содержащая все Российские Госты, национальные Стандарты и нормативы.
В Системе содержится более 150000 файлов нормативно-технической документации, действующей на территории РФ.
Система предназначена для широкого круга инженерно-технических специалистов.

Рейтинг@Mail.ru Яндекс цитирования

Copyright © www.gostrf.com, 2008 - 2026