Крупнейшая бесплатная информационно-справочная система онлайн доступа к полному собранию технических нормативно-правовых актов РФ. Огромная база технических нормативов (более 150 тысяч документов) и полное собрание национальных стандартов, аутентичное официальной базе Госстандарта. GOSTRF.com - это более 1 Терабайта бесплатной технической информации для всех пользователей интернета. Все электронные копии представленных здесь документов могут распространяться без каких-либо ограничений. Поощряется распространение информации с этого сайта на любых других ресурсах. Каждый человек имеет право на неограниченный доступ к этим документам! Каждый человек имеет право на знание требований, изложенных в данных нормативно-правовых актах!

  


 

ГОСТ Р 12.0.010-2009

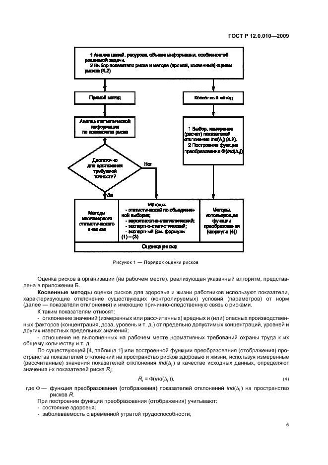
Система стандартов безопасности труда. Системы управления охраной труда. Определение опасностей и оценка рисков

Обозначение:ГОСТ Р 12.0.010-2009
Текущий статус документа: действующий
Название документа рус.:Система стандартов безопасности труда. Системы управления охраной труда. Определение опасностей и оценка рисков
Название документа англ.:Occupational safety standards system. Occupational safety and health management systems. Hazard and risks identification and estimation of risks
Дата актуализации текста:01.12.2013
Дата издания:24.01.2011
Дата введения:01.01.2011
Дата последнего изменения:22.05.2013
Область применения:Настоящий стандарт устанавливает правила и методы оценки рисков, связанных с ущербом здоровью и жизни работника в процессе его трудовой деятельности, и может быть использован на различных уровнях – национальном, в отрасли экономики и промышленности, в организации и на отдельном рабочем месте.
Настоящий стандарт применяют в целях:
- обеспечения конституционного права работника на труд в условиях, отвечающих требованиям безопасности и гигиены [1, статья 37, пункт 3];
- получения данных (об опасностях и рисках) для информирования работников о риске повреждения здоровья [2, статья 212];
- обоснования положенной социальной защиты работников, в том числе компенсаций за работу во вредных и (или) опасных условиях труда;
- оценивания эффективности мер по совершенствованию охраны труда;
- принятия превентивных мер по защите здоровья работника;
- выяснения причинно-следственной связи состояния здоровья работников с условиями труда;
- обоснования положений трудового договора об обязательствах работодателя по обеспечению работника необходимыми средствами индивидуальной защиты, установлению соответствующего режима труда и отдыха, а также по обеспечению других предусмотренных законодательством гарантий и компенсаций.
Настоящий стандарт может быть применен экспертными и страховыми организациями для обоснования размера страховых тарифов
ГОСТ Р 12.0.010-2009ГОСТ Р 12.0.010-2009ГОСТ Р 12.0.010-2009ГОСТ Р 12.0.010-2009ГОСТ Р 12.0.010-2009ГОСТ Р 12.0.010-2009ГОСТ Р 12.0.010-2009ГОСТ Р 12.0.010-2009ГОСТ Р 12.0.010-2009ГОСТ Р 12.0.010-2009ГОСТ Р 12.0.010-2009ГОСТ Р 12.0.010-2009ГОСТ Р 12.0.010-2009ГОСТ Р 12.0.010-2009ГОСТ Р 12.0.010-2009ГОСТ Р 12.0.010-2009ГОСТ Р 12.0.010-2009ГОСТ Р 12.0.010-2009ГОСТ Р 12.0.010-2009ГОСТ Р 12.0.010-2009
 




ГОСТЫ, СТРОИТЕЛЬНЫЕ и ТЕХНИЧЕСКИЕ НОРМАТИВЫ.
Некоммерческая онлайн система, содержащая все Российские Госты, национальные Стандарты и нормативы.
В Системе содержится более 150000 файлов нормативно-технической документации, действующей на территории РФ.
Система предназначена для широкого круга инженерно-технических специалистов.

Рейтинг@Mail.ru Яндекс цитирования

Copyright © www.gostrf.com, 2008 - 2026