Крупнейшая бесплатная информационно-справочная система онлайн доступа к полному собранию технических нормативно-правовых актов РФ. Огромная база технических нормативов (более 150 тысяч документов) и полное собрание национальных стандартов, аутентичное официальной базе Госстандарта. GOSTRF.com - это более 1 Терабайта бесплатной технической информации для всех пользователей интернета. Все электронные копии представленных здесь документов могут распространяться без каких-либо ограничений. Поощряется распространение информации с этого сайта на любых других ресурсах. Каждый человек имеет право на неограниченный доступ к этим документам! Каждый человек имеет право на знание требований, изложенных в данных нормативно-правовых актах!

  


 

ГОСТ 31247-2004

Чистота промышленная. Определение загрязнения пробы жидкости с помощью автоматических счетчиков частиц

Обозначение:ГОСТ 31247-2004
Текущий статус документа: действующий
Название документа рус.:Чистота промышленная. Определение загрязнения пробы жидкости с помощью автоматических счетчиков частиц
Название документа англ.:Industrial cleanliness. Determination of fluid sample contamination using automatic particle counter
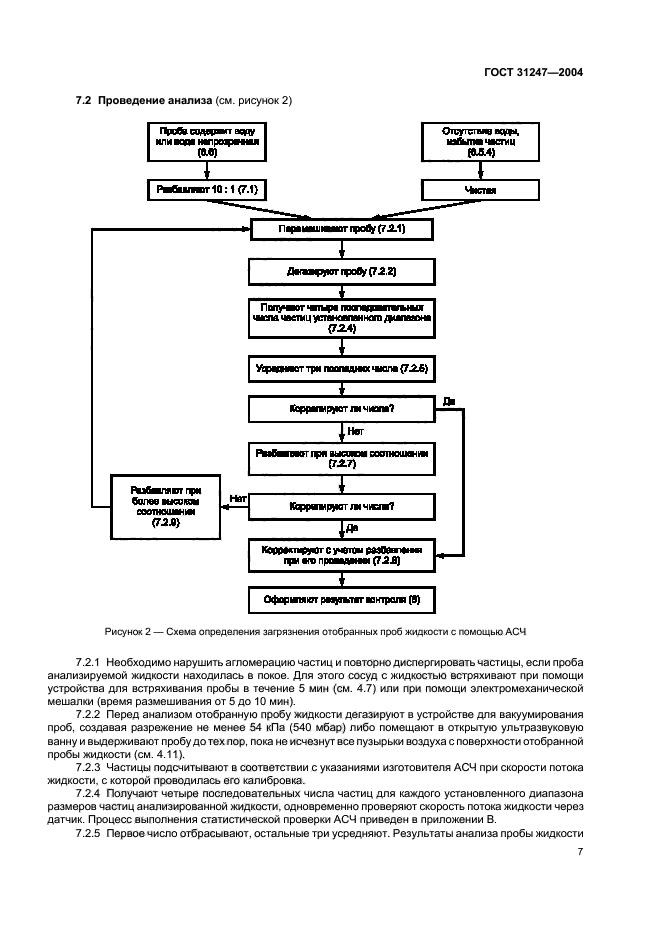
Дата актуализации текста:01.12.2013
Дата издания:31.03.2005
Дата введения:31.08.2005
Дата последнего изменения:22.05.2013
Область применения:Настоящий стандарт устанавливает метод автоматического подсчета частиц, находящихся во взвешенном состоянии, в пробе жидкости с целью определения их размера и количественного распределения по размерам.
Метод количественного анализа применяют для контроля:
- количества частиц в жидкостях гидравлических систем;
- качества процессов промывки узлов и гидроагрегатов;
- работы вспомогательного оборудования и испытательных установок;
- состояния жидкости в упаковке (таре).
Метод используют для однородных (гомогенных) жидкостей и при условии отсутствия крупномасштабных оптических неоднородностей и межфазовой границы в анализируемой жидкости, создающей ложные электрические сигналы на выходе автоматического счетчика частиц
ГОСТ 31247-2004ГОСТ 31247-2004ГОСТ 31247-2004ГОСТ 31247-2004ГОСТ 31247-2004ГОСТ 31247-2004ГОСТ 31247-2004ГОСТ 31247-2004ГОСТ 31247-2004ГОСТ 31247-2004ГОСТ 31247-2004ГОСТ 31247-2004ГОСТ 31247-2004ГОСТ 31247-2004ГОСТ 31247-2004
 




ГОСТЫ, СТРОИТЕЛЬНЫЕ и ТЕХНИЧЕСКИЕ НОРМАТИВЫ.
Некоммерческая онлайн система, содержащая все Российские Госты, национальные Стандарты и нормативы.
В Системе содержится более 150000 файлов нормативно-технической документации, действующей на территории РФ.
Система предназначена для широкого круга инженерно-технических специалистов.

Рейтинг@Mail.ru Яндекс цитирования

Copyright © www.gostrf.com, 2008 - 2026