Крупнейшая бесплатная информационно-справочная система онлайн доступа к полному собранию технических нормативно-правовых актов РФ. Огромная база технических нормативов (более 150 тысяч документов) и полное собрание национальных стандартов, аутентичное официальной базе Госстандарта. GOSTRF.com - это более 1 Терабайта бесплатной технической информации для всех пользователей интернета. Все электронные копии представленных здесь документов могут распространяться без каких-либо ограничений. Поощряется распространение информации с этого сайта на любых других ресурсах. Каждый человек имеет право на неограниченный доступ к этим документам! Каждый человек имеет право на знание требований, изложенных в данных нормативно-правовых актах!

  


 

ГОСТ Р ИСО 16269-8-2005

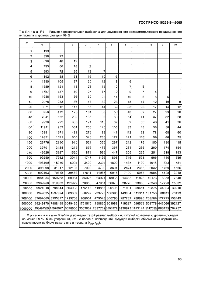
Статистические методы. Статистическое представление данных. Определение предикционных интервалов

Обозначение:ГОСТ Р ИСО 16269-8-2005
Текущий статус документа: действующий
Название документа рус.:Статистические методы. Статистическое представление данных. Определение предикционных интервалов
Название документа англ.:Statistical methods. Statistical interpretation of data. Determination of prediction intervals
Дата актуализации текста:01.12.2013
Дата издания:14.09.2005
Дата введения:01.09.2005
Дата последнего изменения:22.05.2013
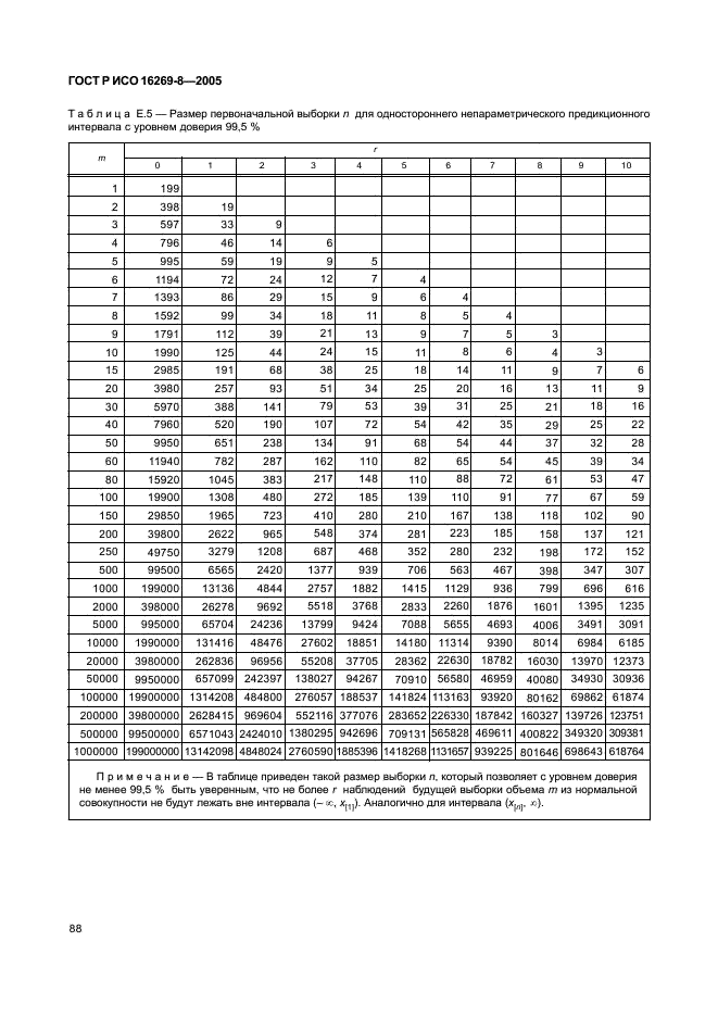
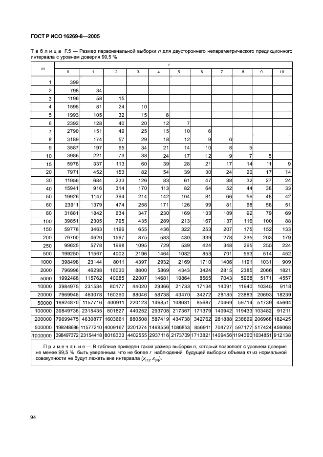
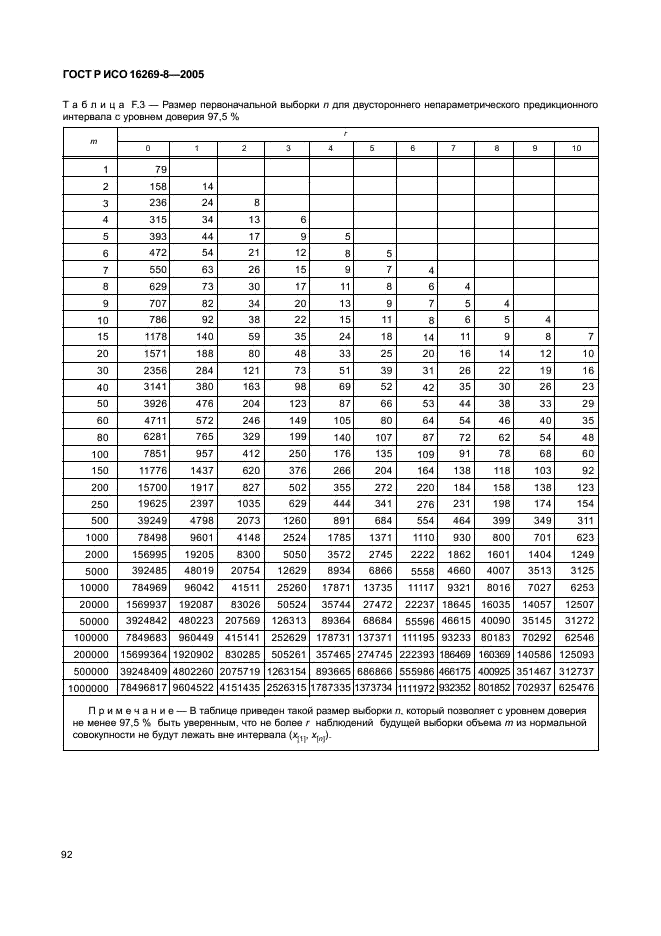
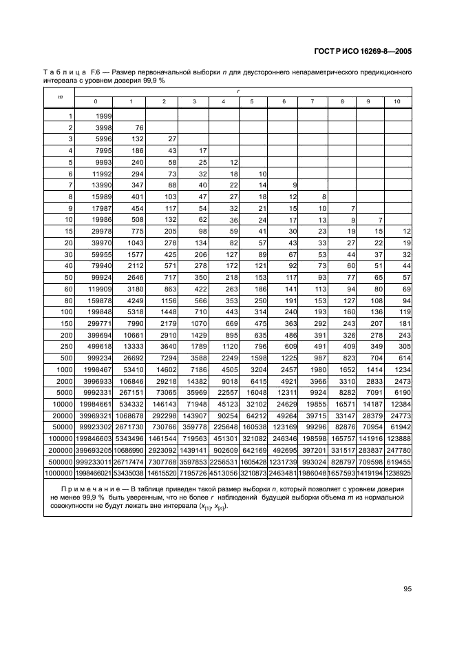
Область применения:Настоящий стандарт устанавливает методы определения предикционных интервалов для единственной переменной с непрерывной функцией распределения. Построение предикционного интервала сводится к прогнозированию диапазона значений переменной по случайной выборке размера n для будущей случайной выборки размера m из той же самой совокупности с заданным уровнем доверия
ГОСТ Р ИСО 16269-8-2005ГОСТ Р ИСО 16269-8-2005ГОСТ Р ИСО 16269-8-2005ГОСТ Р ИСО 16269-8-2005ГОСТ Р ИСО 16269-8-2005ГОСТ Р ИСО 16269-8-2005ГОСТ Р ИСО 16269-8-2005ГОСТ Р ИСО 16269-8-2005ГОСТ Р ИСО 16269-8-2005ГОСТ Р ИСО 16269-8-2005ГОСТ Р ИСО 16269-8-2005ГОСТ Р ИСО 16269-8-2005ГОСТ Р ИСО 16269-8-2005ГОСТ Р ИСО 16269-8-2005ГОСТ Р ИСО 16269-8-2005ГОСТ Р ИСО 16269-8-2005ГОСТ Р ИСО 16269-8-2005ГОСТ Р ИСО 16269-8-2005ГОСТ Р ИСО 16269-8-2005ГОСТ Р ИСО 16269-8-2005ГОСТ Р ИСО 16269-8-2005ГОСТ Р ИСО 16269-8-2005ГОСТ Р ИСО 16269-8-2005ГОСТ Р ИСО 16269-8-2005ГОСТ Р ИСО 16269-8-2005ГОСТ Р ИСО 16269-8-2005ГОСТ Р ИСО 16269-8-2005ГОСТ Р ИСО 16269-8-2005ГОСТ Р ИСО 16269-8-2005ГОСТ Р ИСО 16269-8-2005ГОСТ Р ИСО 16269-8-2005ГОСТ Р ИСО 16269-8-2005ГОСТ Р ИСО 16269-8-2005ГОСТ Р ИСО 16269-8-2005ГОСТ Р ИСО 16269-8-2005ГОСТ Р ИСО 16269-8-2005ГОСТ Р ИСО 16269-8-2005ГОСТ Р ИСО 16269-8-2005ГОСТ Р ИСО 16269-8-2005ГОСТ Р ИСО 16269-8-2005ГОСТ Р ИСО 16269-8-2005ГОСТ Р ИСО 16269-8-2005ГОСТ Р ИСО 16269-8-2005ГОСТ Р ИСО 16269-8-2005ГОСТ Р ИСО 16269-8-2005ГОСТ Р ИСО 16269-8-2005ГОСТ Р ИСО 16269-8-2005ГОСТ Р ИСО 16269-8-2005ГОСТ Р ИСО 16269-8-2005ГОСТ Р ИСО 16269-8-2005ГОСТ Р ИСО 16269-8-2005ГОСТ Р ИСО 16269-8-2005ГОСТ Р ИСО 16269-8-2005ГОСТ Р ИСО 16269-8-2005ГОСТ Р ИСО 16269-8-2005ГОСТ Р ИСО 16269-8-2005ГОСТ Р ИСО 16269-8-2005ГОСТ Р ИСО 16269-8-2005ГОСТ Р ИСО 16269-8-2005ГОСТ Р ИСО 16269-8-2005ГОСТ Р ИСО 16269-8-2005ГОСТ Р ИСО 16269-8-2005ГОСТ Р ИСО 16269-8-2005ГОСТ Р ИСО 16269-8-2005ГОСТ Р ИСО 16269-8-2005ГОСТ Р ИСО 16269-8-2005ГОСТ Р ИСО 16269-8-2005ГОСТ Р ИСО 16269-8-2005ГОСТ Р ИСО 16269-8-2005ГОСТ Р ИСО 16269-8-2005ГОСТ Р ИСО 16269-8-2005ГОСТ Р ИСО 16269-8-2005ГОСТ Р ИСО 16269-8-2005ГОСТ Р ИСО 16269-8-2005ГОСТ Р ИСО 16269-8-2005ГОСТ Р ИСО 16269-8-2005ГОСТ Р ИСО 16269-8-2005ГОСТ Р ИСО 16269-8-2005ГОСТ Р ИСО 16269-8-2005ГОСТ Р ИСО 16269-8-2005ГОСТ Р ИСО 16269-8-2005ГОСТ Р ИСО 16269-8-2005ГОСТ Р ИСО 16269-8-2005ГОСТ Р ИСО 16269-8-2005ГОСТ Р ИСО 16269-8-2005ГОСТ Р ИСО 16269-8-2005ГОСТ Р ИСО 16269-8-2005ГОСТ Р ИСО 16269-8-2005ГОСТ Р ИСО 16269-8-2005ГОСТ Р ИСО 16269-8-2005ГОСТ Р ИСО 16269-8-2005ГОСТ Р ИСО 16269-8-2005ГОСТ Р ИСО 16269-8-2005ГОСТ Р ИСО 16269-8-2005ГОСТ Р ИСО 16269-8-2005ГОСТ Р ИСО 16269-8-2005ГОСТ Р ИСО 16269-8-2005ГОСТ Р ИСО 16269-8-2005ГОСТ Р ИСО 16269-8-2005ГОСТ Р ИСО 16269-8-2005ГОСТ Р ИСО 16269-8-2005ГОСТ Р ИСО 16269-8-2005ГОСТ Р ИСО 16269-8-2005ГОСТ Р ИСО 16269-8-2005ГОСТ Р ИСО 16269-8-2005ГОСТ Р ИСО 16269-8-2005ГОСТ Р ИСО 16269-8-2005ГОСТ Р ИСО 16269-8-2005ГОСТ Р ИСО 16269-8-2005
 




ГОСТЫ, СТРОИТЕЛЬНЫЕ и ТЕХНИЧЕСКИЕ НОРМАТИВЫ.
Некоммерческая онлайн система, содержащая все Российские Госты, национальные Стандарты и нормативы.
В Системе содержится более 150000 файлов нормативно-технической документации, действующей на территории РФ.
Система предназначена для широкого круга инженерно-технических специалистов.

Рейтинг@Mail.ru Яндекс цитирования

Copyright © www.gostrf.com, 2008 - 2026