Крупнейшая бесплатная информационно-справочная система онлайн доступа к полному собранию технических нормативно-правовых актов РФ. Огромная база технических нормативов (более 150 тысяч документов) и полное собрание национальных стандартов, аутентичное официальной базе Госстандарта. GOSTRF.com - это более 1 Терабайта бесплатной технической информации для всех пользователей интернета. Все электронные копии представленных здесь документов могут распространяться без каких-либо ограничений. Поощряется распространение информации с этого сайта на любых других ресурсах. Каждый человек имеет право на неограниченный доступ к этим документам! Каждый человек имеет право на знание требований, изложенных в данных нормативно-правовых актах!

  


 

ГОСТ 16079-2002

Рыбы сиговые соленые. Технические условия

Обозначение:ГОСТ 16079-2002
Текущий статус документа: действующий
Название документа рус.:Рыбы сиговые соленые. Технические условия
Название документа англ.:Salted whitefishes. Specifications
Дата актуализации текста:01.12.2013
Дата издания:01.09.2007
Дата введения:01.01.2004
Дата последнего изменения:22.05.2013
Переиздание:переиздание с поправкой
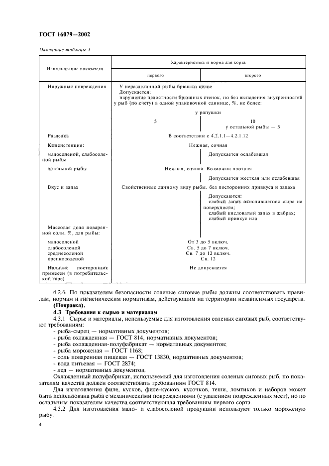
Область применения:Настоящий стандарт распространяется на соленую рыбу семейства сиговых следующих родов:
- сиги (Coregonus);
- нельмы (Stenodus)
Список изменений:№0 от 29.09.2004 (рег. 29.09.2004) «Дата введения перенесена»
Приложение №1:Поправка к ГОСТ 16079-2002
ГОСТ 16079-2002ГОСТ 16079-2002ГОСТ 16079-2002ГОСТ 16079-2002ГОСТ 16079-2002ГОСТ 16079-2002ГОСТ 16079-2002ГОСТ 16079-2002ГОСТ 16079-2002ГОСТ 16079-2002

Поправка к ГОСТ 16079-2002

Обозначение:Поправка к ГОСТ 16079-2002
Дата введения:29.09.2004


Поправка к ГОСТ 16079-2002
 




ГОСТЫ, СТРОИТЕЛЬНЫЕ и ТЕХНИЧЕСКИЕ НОРМАТИВЫ.
Некоммерческая онлайн система, содержащая все Российские Госты, национальные Стандарты и нормативы.
В Системе содержится более 150000 файлов нормативно-технической документации, действующей на территории РФ.
Система предназначена для широкого круга инженерно-технических специалистов.

Рейтинг@Mail.ru Яндекс цитирования

Copyright © www.gostrf.com, 2008 - 2026