Крупнейшая бесплатная информационно-справочная система онлайн доступа к полному собранию технических нормативно-правовых актов РФ. Огромная база технических нормативов (более 150 тысяч документов) и полное собрание национальных стандартов, аутентичное официальной базе Госстандарта. GOSTRF.com - это более 1 Терабайта бесплатной технической информации для всех пользователей интернета. Все электронные копии представленных здесь документов могут распространяться без каких-либо ограничений. Поощряется распространение информации с этого сайта на любых других ресурсах. Каждый человек имеет право на неограниченный доступ к этим документам! Каждый человек имеет право на знание требований, изложенных в данных нормативно-правовых актах!

  


 

ГОСТ Р ИСО 18153-2006

Изделия медицинские для диагностики in vitro. Измерение величин в биологических пробах. Метрологическая прослеживаемость значений каталитической концентрации ферментов, приписанных калибраторам и контрольным материалам

Обозначение:ГОСТ Р ИСО 18153-2006
Текущий статус документа: отменён
Название документа рус.:Изделия медицинские для диагностики in vitro. Измерение величин в биологических пробах. Метрологическая прослеживаемость значений каталитической концентрации ферментов, приписанных калибраторам и контрольным материалам
Название документа англ.:In vitro diagnostic medical devices. Measurement of quantities in biological samples. Metrological traceability of assigned values for catalytic concentration of enzymes in calibrators and control materials
Дата актуализации текста:01.12.2013
Дата издания:09.11.2007
Дата введения:01.01.2008
Дата последнего изменения:22.05.2013
Дата окончания срока действия:01.01.2013
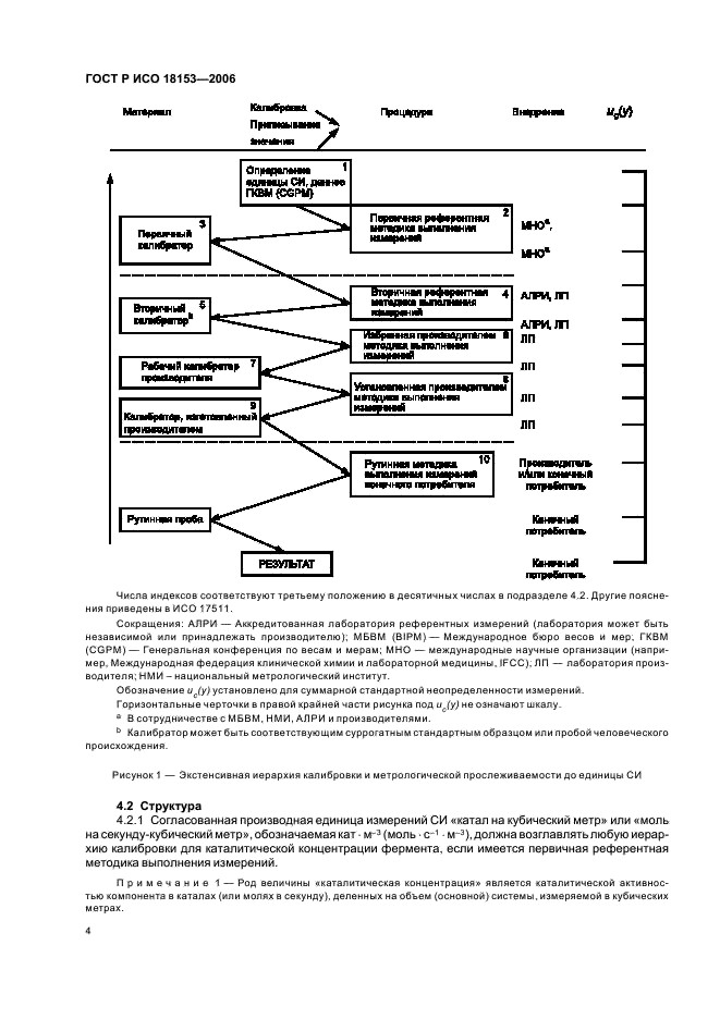
Область применения:Настоящий стандарт устанавливает правила обеспечения метрологической прослеживаемости значений, приписанных калибраторам и контрольным материалам, предназначенным для установления или подтверждении правильности измерения каталитической концентрации ферментов. Калибраторы и контрольные материалы предоставляются производителями как составная часть медицинских изделий для диагностики in vitro или для применения с ними
Список изменений:№0 от 01.01.2013 (рег. 13.12.2011) «Текстовое изменение; Изменено заглавие»
ГОСТ Р ИСО 18153-2006ГОСТ Р ИСО 18153-2006ГОСТ Р ИСО 18153-2006ГОСТ Р ИСО 18153-2006ГОСТ Р ИСО 18153-2006ГОСТ Р ИСО 18153-2006ГОСТ Р ИСО 18153-2006ГОСТ Р ИСО 18153-2006ГОСТ Р ИСО 18153-2006ГОСТ Р ИСО 18153-2006ГОСТ Р ИСО 18153-2006ГОСТ Р ИСО 18153-2006ГОСТ Р ИСО 18153-2006ГОСТ Р ИСО 18153-2006ГОСТ Р ИСО 18153-2006ГОСТ Р ИСО 18153-2006ГОСТ Р ИСО 18153-2006ГОСТ Р ИСО 18153-2006
 




ГОСТЫ, СТРОИТЕЛЬНЫЕ и ТЕХНИЧЕСКИЕ НОРМАТИВЫ.
Некоммерческая онлайн система, содержащая все Российские Госты, национальные Стандарты и нормативы.
В Системе содержится более 150000 файлов нормативно-технической документации, действующей на территории РФ.
Система предназначена для широкого круга инженерно-технических специалистов.

Рейтинг@Mail.ru Яндекс цитирования

Copyright © www.gostrf.com, 2008 - 2026