Крупнейшая бесплатная информационно-справочная система онлайн доступа к полному собранию технических нормативно-правовых актов РФ. Огромная база технических нормативов (более 150 тысяч документов) и полное собрание национальных стандартов, аутентичное официальной базе Госстандарта. GOSTRF.com - это более 1 Терабайта бесплатной технической информации для всех пользователей интернета. Все электронные копии представленных здесь документов могут распространяться без каких-либо ограничений. Поощряется распространение информации с этого сайта на любых других ресурсах. Каждый человек имеет право на неограниченный доступ к этим документам! Каждый человек имеет право на знание требований, изложенных в данных нормативно-правовых актах!

  


 

ГОСТ 7.67-2003

Система стандартов по информации, библиотечному и издательскому делу. Коды названий стран

Обозначение:ГОСТ 7.67-2003
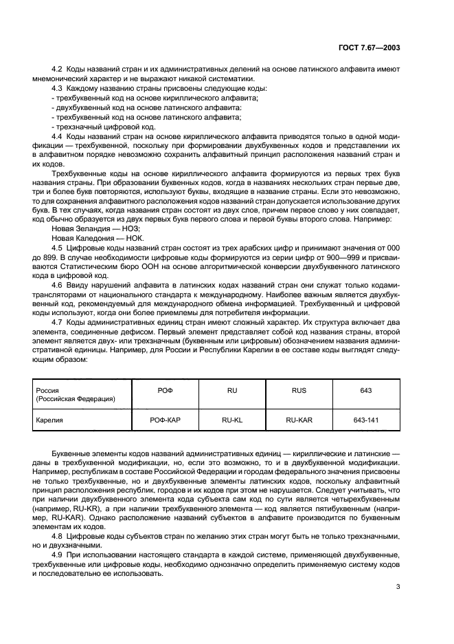
Текущий статус документа: действующий
Название документа рус.:Система стандартов по информации, библиотечному и издательскому делу. Коды названий стран
Название документа англ.:System of standards of information, librarianship and publishing. Codes of names of countries
Дата актуализации текста:01.12.2013
Дата издания:20.04.2004
Дата введения:01.01.2005
Дата последнего изменения:22.05.2013
Область применения:Настоящий стандарт устанавливает буквенные и цифровые обозначения названий стран в кодированной форме, единые для различных систем обработки информации, ее хранения и обмена, а также унифицированные правила образования кодов.
Стандарт может быть дополнен перечнями названий административных единиц и их кодов государств, участников Межгосударственного Совета по стандартизации, метрологии и сертификации - Азербайджана, Армении, Грузии, Киргизстана, Молдовы, Туркменистана, Узбекистана, Украины
ГОСТ 7.67-2003ГОСТ 7.67-2003ГОСТ 7.67-2003ГОСТ 7.67-2003ГОСТ 7.67-2003ГОСТ 7.67-2003ГОСТ 7.67-2003ГОСТ 7.67-2003ГОСТ 7.67-2003ГОСТ 7.67-2003ГОСТ 7.67-2003ГОСТ 7.67-2003ГОСТ 7.67-2003ГОСТ 7.67-2003ГОСТ 7.67-2003ГОСТ 7.67-2003ГОСТ 7.67-2003ГОСТ 7.67-2003ГОСТ 7.67-2003ГОСТ 7.67-2003ГОСТ 7.67-2003ГОСТ 7.67-2003ГОСТ 7.67-2003ГОСТ 7.67-2003ГОСТ 7.67-2003ГОСТ 7.67-2003ГОСТ 7.67-2003ГОСТ 7.67-2003ГОСТ 7.67-2003ГОСТ 7.67-2003ГОСТ 7.67-2003ГОСТ 7.67-2003ГОСТ 7.67-2003ГОСТ 7.67-2003ГОСТ 7.67-2003ГОСТ 7.67-2003ГОСТ 7.67-2003ГОСТ 7.67-2003ГОСТ 7.67-2003ГОСТ 7.67-2003ГОСТ 7.67-2003
 




ГОСТЫ, СТРОИТЕЛЬНЫЕ и ТЕХНИЧЕСКИЕ НОРМАТИВЫ.
Некоммерческая онлайн система, содержащая все Российские Госты, национальные Стандарты и нормативы.
В Системе содержится более 150000 файлов нормативно-технической документации, действующей на территории РФ.
Система предназначена для широкого круга инженерно-технических специалистов.

Рейтинг@Mail.ru Яндекс цитирования

Copyright © www.gostrf.com, 2008 - 2026