Крупнейшая бесплатная информационно-справочная система онлайн доступа к полному собранию технических нормативно-правовых актов РФ. Огромная база технических нормативов (более 150 тысяч документов) и полное собрание национальных стандартов, аутентичное официальной базе Госстандарта. GOSTRF.com - это более 1 Терабайта бесплатной технической информации для всех пользователей интернета. Все электронные копии представленных здесь документов могут распространяться без каких-либо ограничений. Поощряется распространение информации с этого сайта на любых других ресурсах. Каждый человек имеет право на неограниченный доступ к этим документам! Каждый человек имеет право на знание требований, изложенных в данных нормативно-правовых актах!

  


 

ГОСТ Р ИСО/МЭК 7816-4-2004

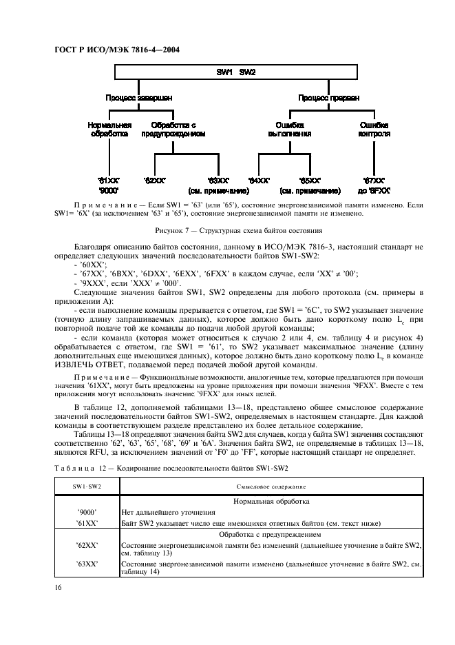
Информационная технология. Карты идентификационные. Карты на интегральных схемах с контактами. Часть 4. Межотраслевые команды для обмена

Обозначение:ГОСТ Р ИСО/МЭК 7816-4-2004
Текущий статус документа: действующий
Название документа рус.:Информационная технология. Карты идентификационные. Карты на интегральных схемах с контактами. Часть 4. Межотраслевые команды для обмена
Название документа англ.:Information technology. Identification cards. Integrated circuit(s) cards with contacts. Part 4. Interindustry commands for interchange
Дата актуализации текста:01.12.2013
Дата издания:03.09.2004
Дата введения:01.01.2005
Дата последнего изменения:22.05.2013
Область применения:Настоящий стандарт устанавливает:
- содержание сообщений (команд и ответов), передаваемых устройством сопряжения карте и обратно;
- структуру и содержание байтов предыстории, посылаемых картой во время ответа на восстановление;
- структуру файлов и данных, прослеживаемую на стыке между картой и устройством сопряжения при обработке межотраслевых команд;
- методы доступа к файлам и данным, содержащимся в карте;
- архитектуру безопасности, определяющую права доступа к файлам и данным, содержащимся в карте;
- методы безопасного обмена сообщениями;
- методы доступа к алгоритмам, обрабатываемым картой (исключая описание самих алгоритмов).
Настоящий стандарт не распространяется на реализацию обмена данными внутри карты и/или внешнего окружения.
Стандарт допускает дальнейшую стандартизацию дополнительных межотраслевых команд и архитектур безопасности
ГОСТ Р ИСО/МЭК 7816-4-2004ГОСТ Р ИСО/МЭК 7816-4-2004ГОСТ Р ИСО/МЭК 7816-4-2004ГОСТ Р ИСО/МЭК 7816-4-2004ГОСТ Р ИСО/МЭК 7816-4-2004ГОСТ Р ИСО/МЭК 7816-4-2004ГОСТ Р ИСО/МЭК 7816-4-2004ГОСТ Р ИСО/МЭК 7816-4-2004ГОСТ Р ИСО/МЭК 7816-4-2004ГОСТ Р ИСО/МЭК 7816-4-2004ГОСТ Р ИСО/МЭК 7816-4-2004ГОСТ Р ИСО/МЭК 7816-4-2004ГОСТ Р ИСО/МЭК 7816-4-2004ГОСТ Р ИСО/МЭК 7816-4-2004ГОСТ Р ИСО/МЭК 7816-4-2004ГОСТ Р ИСО/МЭК 7816-4-2004ГОСТ Р ИСО/МЭК 7816-4-2004ГОСТ Р ИСО/МЭК 7816-4-2004ГОСТ Р ИСО/МЭК 7816-4-2004ГОСТ Р ИСО/МЭК 7816-4-2004ГОСТ Р ИСО/МЭК 7816-4-2004ГОСТ Р ИСО/МЭК 7816-4-2004ГОСТ Р ИСО/МЭК 7816-4-2004ГОСТ Р ИСО/МЭК 7816-4-2004ГОСТ Р ИСО/МЭК 7816-4-2004ГОСТ Р ИСО/МЭК 7816-4-2004ГОСТ Р ИСО/МЭК 7816-4-2004ГОСТ Р ИСО/МЭК 7816-4-2004ГОСТ Р ИСО/МЭК 7816-4-2004ГОСТ Р ИСО/МЭК 7816-4-2004ГОСТ Р ИСО/МЭК 7816-4-2004ГОСТ Р ИСО/МЭК 7816-4-2004ГОСТ Р ИСО/МЭК 7816-4-2004ГОСТ Р ИСО/МЭК 7816-4-2004ГОСТ Р ИСО/МЭК 7816-4-2004ГОСТ Р ИСО/МЭК 7816-4-2004ГОСТ Р ИСО/МЭК 7816-4-2004ГОСТ Р ИСО/МЭК 7816-4-2004ГОСТ Р ИСО/МЭК 7816-4-2004ГОСТ Р ИСО/МЭК 7816-4-2004ГОСТ Р ИСО/МЭК 7816-4-2004ГОСТ Р ИСО/МЭК 7816-4-2004ГОСТ Р ИСО/МЭК 7816-4-2004ГОСТ Р ИСО/МЭК 7816-4-2004ГОСТ Р ИСО/МЭК 7816-4-2004ГОСТ Р ИСО/МЭК 7816-4-2004ГОСТ Р ИСО/МЭК 7816-4-2004ГОСТ Р ИСО/МЭК 7816-4-2004ГОСТ Р ИСО/МЭК 7816-4-2004ГОСТ Р ИСО/МЭК 7816-4-2004ГОСТ Р ИСО/МЭК 7816-4-2004ГОСТ Р ИСО/МЭК 7816-4-2004ГОСТ Р ИСО/МЭК 7816-4-2004ГОСТ Р ИСО/МЭК 7816-4-2004ГОСТ Р ИСО/МЭК 7816-4-2004ГОСТ Р ИСО/МЭК 7816-4-2004ГОСТ Р ИСО/МЭК 7816-4-2004ГОСТ Р ИСО/МЭК 7816-4-2004ГОСТ Р ИСО/МЭК 7816-4-2004ГОСТ Р ИСО/МЭК 7816-4-2004ГОСТ Р ИСО/МЭК 7816-4-2004ГОСТ Р ИСО/МЭК 7816-4-2004ГОСТ Р ИСО/МЭК 7816-4-2004ГОСТ Р ИСО/МЭК 7816-4-2004ГОСТ Р ИСО/МЭК 7816-4-2004ГОСТ Р ИСО/МЭК 7816-4-2004ГОСТ Р ИСО/МЭК 7816-4-2004ГОСТ Р ИСО/МЭК 7816-4-2004ГОСТ Р ИСО/МЭК 7816-4-2004ГОСТ Р ИСО/МЭК 7816-4-2004ГОСТ Р ИСО/МЭК 7816-4-2004ГОСТ Р ИСО/МЭК 7816-4-2004ГОСТ Р ИСО/МЭК 7816-4-2004ГОСТ Р ИСО/МЭК 7816-4-2004ГОСТ Р ИСО/МЭК 7816-4-2004ГОСТ Р ИСО/МЭК 7816-4-2004ГОСТ Р ИСО/МЭК 7816-4-2004ГОСТ Р ИСО/МЭК 7816-4-2004
 




ГОСТЫ, СТРОИТЕЛЬНЫЕ и ТЕХНИЧЕСКИЕ НОРМАТИВЫ.
Некоммерческая онлайн система, содержащая все Российские Госты, национальные Стандарты и нормативы.
В Системе содержится более 150000 файлов нормативно-технической документации, действующей на территории РФ.
Система предназначена для широкого круга инженерно-технических специалистов.

Рейтинг@Mail.ru Яндекс цитирования

Copyright © www.gostrf.com, 2008 - 2026