Крупнейшая бесплатная информационно-справочная система онлайн доступа к полному собранию технических нормативно-правовых актов РФ. Огромная база технических нормативов (более 150 тысяч документов) и полное собрание национальных стандартов, аутентичное официальной базе Госстандарта. GOSTRF.com - это более 1 Терабайта бесплатной технической информации для всех пользователей интернета. Все электронные копии представленных здесь документов могут распространяться без каких-либо ограничений. Поощряется распространение информации с этого сайта на любых других ресурсах. Каждый человек имеет право на неограниченный доступ к этим документам! Каждый человек имеет право на знание требований, изложенных в данных нормативно-правовых актах!

  


 

ГОСТ Р 50779.21-2004

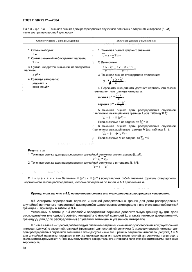
Статистические методы. Правила определения и методы расчета статистических характеристик по выборочным данным. Часть 1. Нормальное распределение

Обозначение:ГОСТ Р 50779.21-2004
Текущий статус документа: действующий
Название документа рус.:Статистические методы. Правила определения и методы расчета статистических характеристик по выборочным данным. Часть 1. Нормальное распределение
Название документа англ.:Statistical methods. Determination rules and methods for calculation of statistical characteristics based on sample data. Part 1. Normal distribution
Дата актуализации текста:01.12.2013
Дата издания:16.03.2004
Дата введения:31.05.2004
Дата последнего изменения:22.05.2013
Область применения:Настоящий стандарт устанавливает методы, применяемые для:
- оценки математического ожидания и дисперсии генеральной совокупности;
- проверки гипотез относительно значений этих параметров;
- оценки вероятности попадания (доли распределения) случайной величины в заданный интервал.
Методы, изложенные в настоящем стандарте, применимы в том случае, если выполнены следующие условия:
- элементы выборки получены путем независимых повторений эксперимента. В случае конечной генеральной совокупности объем выборки должен составлять не более 10% объема генеральной совокупности;
- наблюдаемые переменные распределены по нормальному закону. Однако, если распределение вероятностей несильно отличается от нормального, то описанные в стандарте методы остаются применимыми для большинства практических приложений. В этом случае объем выборки должен быть не менее 10 единиц, причем достоверность получаемых статистических выводов возрастает при увеличении объемов выборок
ГОСТ Р 50779.21-2004ГОСТ Р 50779.21-2004ГОСТ Р 50779.21-2004ГОСТ Р 50779.21-2004ГОСТ Р 50779.21-2004ГОСТ Р 50779.21-2004ГОСТ Р 50779.21-2004ГОСТ Р 50779.21-2004ГОСТ Р 50779.21-2004ГОСТ Р 50779.21-2004ГОСТ Р 50779.21-2004ГОСТ Р 50779.21-2004ГОСТ Р 50779.21-2004ГОСТ Р 50779.21-2004ГОСТ Р 50779.21-2004ГОСТ Р 50779.21-2004ГОСТ Р 50779.21-2004ГОСТ Р 50779.21-2004ГОСТ Р 50779.21-2004ГОСТ Р 50779.21-2004ГОСТ Р 50779.21-2004ГОСТ Р 50779.21-2004ГОСТ Р 50779.21-2004ГОСТ Р 50779.21-2004ГОСТ Р 50779.21-2004ГОСТ Р 50779.21-2004ГОСТ Р 50779.21-2004ГОСТ Р 50779.21-2004ГОСТ Р 50779.21-2004ГОСТ Р 50779.21-2004ГОСТ Р 50779.21-2004ГОСТ Р 50779.21-2004ГОСТ Р 50779.21-2004ГОСТ Р 50779.21-2004ГОСТ Р 50779.21-2004ГОСТ Р 50779.21-2004ГОСТ Р 50779.21-2004ГОСТ Р 50779.21-2004ГОСТ Р 50779.21-2004ГОСТ Р 50779.21-2004ГОСТ Р 50779.21-2004ГОСТ Р 50779.21-2004ГОСТ Р 50779.21-2004ГОСТ Р 50779.21-2004ГОСТ Р 50779.21-2004ГОСТ Р 50779.21-2004ГОСТ Р 50779.21-2004
 




ГОСТЫ, СТРОИТЕЛЬНЫЕ и ТЕХНИЧЕСКИЕ НОРМАТИВЫ.
Некоммерческая онлайн система, содержащая все Российские Госты, национальные Стандарты и нормативы.
В Системе содержится более 150000 файлов нормативно-технической документации, действующей на территории РФ.
Система предназначена для широкого круга инженерно-технических специалистов.

Рейтинг@Mail.ru Яндекс цитирования

Copyright © www.gostrf.com, 2008 - 2026