Крупнейшая бесплатная информационно-справочная система онлайн доступа к полному собранию технических нормативно-правовых актов РФ. Огромная база технических нормативов (более 150 тысяч документов) и полное собрание национальных стандартов, аутентичное официальной базе Госстандарта. GOSTRF.com - это более 1 Терабайта бесплатной технической информации для всех пользователей интернета. Все электронные копии представленных здесь документов могут распространяться без каких-либо ограничений. Поощряется распространение информации с этого сайта на любых других ресурсах. Каждый человек имеет право на неограниченный доступ к этим документам! Каждый человек имеет право на знание требований, изложенных в данных нормативно-правовых актах!

  


 

ГОСТ Р ИСО/МЭК 10746-1-2004

Информационная технология. Открытая распределенная обработка. Базовая модель. Часть 1. Основные положения

Обозначение:ГОСТ Р ИСО/МЭК 10746-1-2004
Текущий статус документа: действующий
Название документа рус.:Информационная технология. Открытая распределенная обработка. Базовая модель. Часть 1. Основные положения
Название документа англ.:Information technology. Open distributed processing. Reference model. Part 1. Overview
Дата актуализации текста:01.12.2013
Дата издания:20.04.2004
Дата введения:01.01.2005
Дата последнего изменения:22.05.2013
Область применения:Настоящий стандарт содержит:
- введение и обоснование открытой распределенной обработки (ОРО);
- обзор базовой модели открытой распределенной обработки (БМ-ОРО) и объяснение ее ключевых понятий;
- руководство по применению БМ-ОРО.
Настоящий стандарт содержит общий обзор и подробное объяснение ОРО и может использоваться различными способами в сочетании с другими стандартами данной серии
ГОСТ Р ИСО/МЭК 10746-1-2004ГОСТ Р ИСО/МЭК 10746-1-2004ГОСТ Р ИСО/МЭК 10746-1-2004ГОСТ Р ИСО/МЭК 10746-1-2004ГОСТ Р ИСО/МЭК 10746-1-2004ГОСТ Р ИСО/МЭК 10746-1-2004ГОСТ Р ИСО/МЭК 10746-1-2004ГОСТ Р ИСО/МЭК 10746-1-2004ГОСТ Р ИСО/МЭК 10746-1-2004ГОСТ Р ИСО/МЭК 10746-1-2004ГОСТ Р ИСО/МЭК 10746-1-2004ГОСТ Р ИСО/МЭК 10746-1-2004ГОСТ Р ИСО/МЭК 10746-1-2004ГОСТ Р ИСО/МЭК 10746-1-2004ГОСТ Р ИСО/МЭК 10746-1-2004ГОСТ Р ИСО/МЭК 10746-1-2004ГОСТ Р ИСО/МЭК 10746-1-2004ГОСТ Р ИСО/МЭК 10746-1-2004ГОСТ Р ИСО/МЭК 10746-1-2004ГОСТ Р ИСО/МЭК 10746-1-2004ГОСТ Р ИСО/МЭК 10746-1-2004ГОСТ Р ИСО/МЭК 10746-1-2004ГОСТ Р ИСО/МЭК 10746-1-2004ГОСТ Р ИСО/МЭК 10746-1-2004ГОСТ Р ИСО/МЭК 10746-1-2004ГОСТ Р ИСО/МЭК 10746-1-2004ГОСТ Р ИСО/МЭК 10746-1-2004ГОСТ Р ИСО/МЭК 10746-1-2004ГОСТ Р ИСО/МЭК 10746-1-2004ГОСТ Р ИСО/МЭК 10746-1-2004ГОСТ Р ИСО/МЭК 10746-1-2004ГОСТ Р ИСО/МЭК 10746-1-2004ГОСТ Р ИСО/МЭК 10746-1-2004ГОСТ Р ИСО/МЭК 10746-1-2004ГОСТ Р ИСО/МЭК 10746-1-2004ГОСТ Р ИСО/МЭК 10746-1-2004ГОСТ Р ИСО/МЭК 10746-1-2004ГОСТ Р ИСО/МЭК 10746-1-2004ГОСТ Р ИСО/МЭК 10746-1-2004ГОСТ Р ИСО/МЭК 10746-1-2004ГОСТ Р ИСО/МЭК 10746-1-2004ГОСТ Р ИСО/МЭК 10746-1-2004ГОСТ Р ИСО/МЭК 10746-1-2004ГОСТ Р ИСО/МЭК 10746-1-2004ГОСТ Р ИСО/МЭК 10746-1-2004ГОСТ Р ИСО/МЭК 10746-1-2004ГОСТ Р ИСО/МЭК 10746-1-2004ГОСТ Р ИСО/МЭК 10746-1-2004ГОСТ Р ИСО/МЭК 10746-1-2004ГОСТ Р ИСО/МЭК 10746-1-2004ГОСТ Р ИСО/МЭК 10746-1-2004ГОСТ Р ИСО/МЭК 10746-1-2004ГОСТ Р ИСО/МЭК 10746-1-2004ГОСТ Р ИСО/МЭК 10746-1-2004ГОСТ Р ИСО/МЭК 10746-1-2004ГОСТ Р ИСО/МЭК 10746-1-2004ГОСТ Р ИСО/МЭК 10746-1-2004ГОСТ Р ИСО/МЭК 10746-1-2004ГОСТ Р ИСО/МЭК 10746-1-2004ГОСТ Р ИСО/МЭК 10746-1-2004ГОСТ Р ИСО/МЭК 10746-1-2004ГОСТ Р ИСО/МЭК 10746-1-2004ГОСТ Р ИСО/МЭК 10746-1-2004ГОСТ Р ИСО/МЭК 10746-1-2004ГОСТ Р ИСО/МЭК 10746-1-2004ГОСТ Р ИСО/МЭК 10746-1-2004ГОСТ Р ИСО/МЭК 10746-1-2004ГОСТ Р ИСО/МЭК 10746-1-2004ГОСТ Р ИСО/МЭК 10746-1-2004ГОСТ Р ИСО/МЭК 10746-1-2004ГОСТ Р ИСО/МЭК 10746-1-2004ГОСТ Р ИСО/МЭК 10746-1-2004ГОСТ Р ИСО/МЭК 10746-1-2004ГОСТ Р ИСО/МЭК 10746-1-2004ГОСТ Р ИСО/МЭК 10746-1-2004ГОСТ Р ИСО/МЭК 10746-1-2004ГОСТ Р ИСО/МЭК 10746-1-2004ГОСТ Р ИСО/МЭК 10746-1-2004ГОСТ Р ИСО/МЭК 10746-1-2004ГОСТ Р ИСО/МЭК 10746-1-2004ГОСТ Р ИСО/МЭК 10746-1-2004
 




ГОСТЫ, СТРОИТЕЛЬНЫЕ и ТЕХНИЧЕСКИЕ НОРМАТИВЫ.
Некоммерческая онлайн система, содержащая все Российские Госты, национальные Стандарты и нормативы.
В Системе содержится более 150000 файлов нормативно-технической документации, действующей на территории РФ.
Система предназначена для широкого круга инженерно-технических специалистов.

Рейтинг@Mail.ru Яндекс цитирования

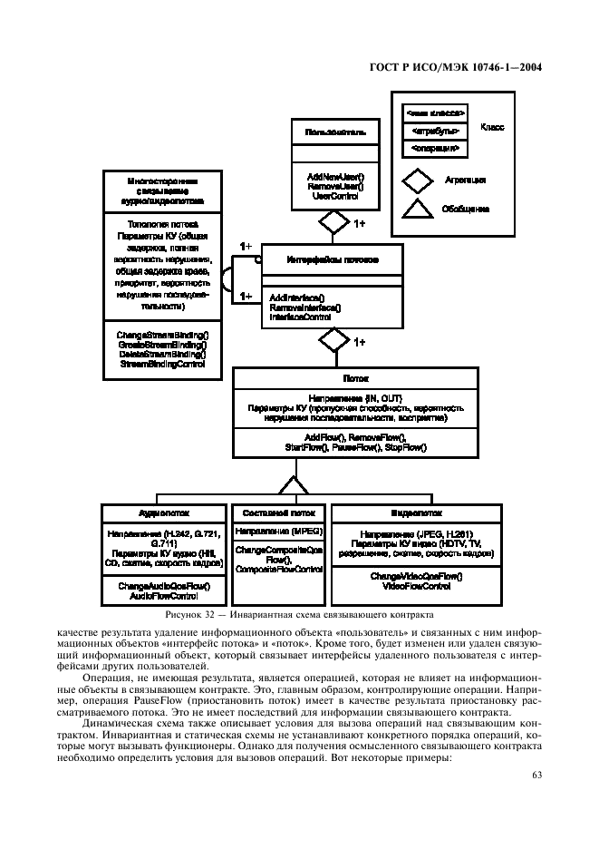
Copyright © www.gostrf.com, 2008 - 2026