Крупнейшая бесплатная информационно-справочная система онлайн доступа к полному собранию технических нормативно-правовых актов РФ. Огромная база технических нормативов (более 150 тысяч документов) и полное собрание национальных стандартов, аутентичное официальной базе Госстандарта. GOSTRF.com - это более 1 Терабайта бесплатной технической информации для всех пользователей интернета. Все электронные копии представленных здесь документов могут распространяться без каких-либо ограничений. Поощряется распространение информации с этого сайта на любых других ресурсах. Каждый человек имеет право на неограниченный доступ к этим документам! Каждый человек имеет право на знание требований, изложенных в данных нормативно-правовых актах!

  


 

ГОСТ 17310-2002

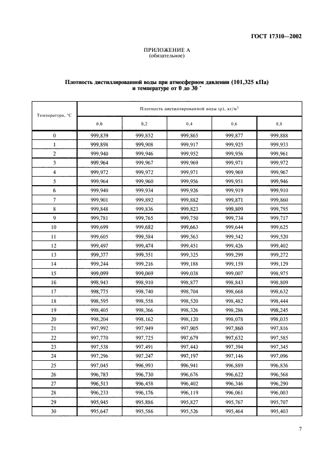
Газы. Пикнометрический метод определения плотности

Обозначение:ГОСТ 17310-2002
Текущий статус документа: действующий
Название документа рус.:Газы. Пикнометрический метод определения плотности
Название документа англ.:Gases. Picknometric method for determination of density
Дата актуализации текста:01.12.2013
Дата издания:07.04.2003
Дата введения:01.01.2004
Дата последнего изменения:22.05.2013
Область применения:Настоящий стандарт устанавливает пикнометрический метод определения плотности и относительной плотности газов и газовых смесей, которые в условиях опыта не изменяют своего состава.
Стандарт не распространяется на газы, насыщенные влагой, температура которых выше 40 град. C.
Сущность метода заключается во взвешивании стеклянного пикнометра последовательно с осушенным воздухом и осушенным газом при одинаковой температуре и давлении
ГОСТ 17310-2002ГОСТ 17310-2002ГОСТ 17310-2002ГОСТ 17310-2002ГОСТ 17310-2002ГОСТ 17310-2002ГОСТ 17310-2002ГОСТ 17310-2002ГОСТ 17310-2002ГОСТ 17310-2002ГОСТ 17310-2002ГОСТ 17310-2002ГОСТ 17310-2002ГОСТ 17310-2002ГОСТ 17310-2002ГОСТ 17310-2002
 




ГОСТЫ, СТРОИТЕЛЬНЫЕ и ТЕХНИЧЕСКИЕ НОРМАТИВЫ.
Некоммерческая онлайн система, содержащая все Российские Госты, национальные Стандарты и нормативы.
В Системе содержится более 150000 файлов нормативно-технической документации, действующей на территории РФ.
Система предназначена для широкого круга инженерно-технических специалистов.

Рейтинг@Mail.ru Яндекс цитирования

Copyright © www.gostrf.com, 2008 - 2026