Крупнейшая бесплатная информационно-справочная система онлайн доступа к полному собранию технических нормативно-правовых актов РФ. Огромная база технических нормативов (более 150 тысяч документов) и полное собрание национальных стандартов, аутентичное официальной базе Госстандарта. GOSTRF.com - это более 1 Терабайта бесплатной технической информации для всех пользователей интернета. Все электронные копии представленных здесь документов могут распространяться без каких-либо ограничений. Поощряется распространение информации с этого сайта на любых других ресурсах. Каждый человек имеет право на неограниченный доступ к этим документам! Каждый человек имеет право на знание требований, изложенных в данных нормативно-правовых актах!

  


 

ГОСТ Р 53479-2009

Оборудование полиграфическое. Методы определения шумовых характеристик. Степени точности 2 и 3

Обозначение:ГОСТ Р 53479-2009
Текущий статус документа: действующий
Название документа рус.:Оборудование полиграфическое. Методы определения шумовых характеристик. Степени точности 2 и 3
Название документа англ.:Printing trades equipment. Methods for determination of noise emission dates. Accuracy grades 2 and 3
Дата актуализации текста:01.12.2013
Дата издания:15.02.2011
Дата введения:01.01.2011
Дата последнего изменения:20.06.2013
Область применения:Настоящий стандарт содержит исчерпывающую информацию, необходимую для эффективного и при нормативных условиях определения, заявления и проверки воздушного шума, излучаемого полиграфическим оборудованием, на которое распространяется действие стандартов [17], а также методы измерения, условия монтажа и режимы работы, используемые при испытаниях.
Настоящий стандарт распространяется на машины, перечисленные в приложениях F–J. Положения настоящего стандарта могут быть применены также для определения шумовых характеристик машин и узлов машин, не указанных в обязательных приложениях F–J, если нет причин, исключающих возможность их применения. В этом случае вся информация, касающаяся состава, условий монтажа и режимов работы, а также расположения рабочих мест, должна быть зарегистрирована и включена в протокол испытаний
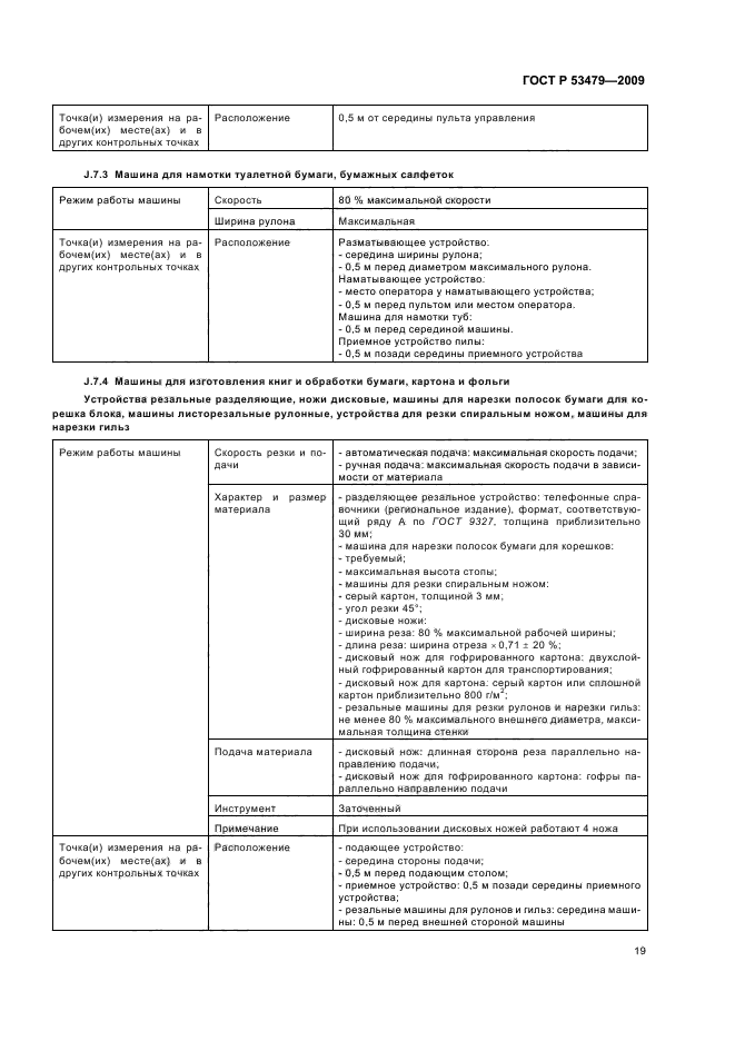
ГОСТ Р 53479-2009ГОСТ Р 53479-2009ГОСТ Р 53479-2009ГОСТ Р 53479-2009ГОСТ Р 53479-2009ГОСТ Р 53479-2009ГОСТ Р 53479-2009ГОСТ Р 53479-2009ГОСТ Р 53479-2009ГОСТ Р 53479-2009ГОСТ Р 53479-2009ГОСТ Р 53479-2009ГОСТ Р 53479-2009ГОСТ Р 53479-2009ГОСТ Р 53479-2009ГОСТ Р 53479-2009ГОСТ Р 53479-2009ГОСТ Р 53479-2009ГОСТ Р 53479-2009ГОСТ Р 53479-2009ГОСТ Р 53479-2009ГОСТ Р 53479-2009ГОСТ Р 53479-2009ГОСТ Р 53479-2009ГОСТ Р 53479-2009ГОСТ Р 53479-2009ГОСТ Р 53479-2009ГОСТ Р 53479-2009ГОСТ Р 53479-2009ГОСТ Р 53479-2009ГОСТ Р 53479-2009ГОСТ Р 53479-2009ГОСТ Р 53479-2009ГОСТ Р 53479-2009ГОСТ Р 53479-2009ГОСТ Р 53479-2009
 




ГОСТЫ, СТРОИТЕЛЬНЫЕ и ТЕХНИЧЕСКИЕ НОРМАТИВЫ.
Некоммерческая онлайн система, содержащая все Российские Госты, национальные Стандарты и нормативы.
В Системе содержится более 150000 файлов нормативно-технической документации, действующей на территории РФ.
Система предназначена для широкого круга инженерно-технических специалистов.

Рейтинг@Mail.ru Яндекс цитирования

Copyright © www.gostrf.com, 2008 - 2026