Крупнейшая бесплатная информационно-справочная система онлайн доступа к полному собранию технических нормативно-правовых актов РФ. Огромная база технических нормативов (более 150 тысяч документов) и полное собрание национальных стандартов, аутентичное официальной базе Госстандарта. GOSTRF.com - это более 1 Терабайта бесплатной технической информации для всех пользователей интернета. Все электронные копии представленных здесь документов могут распространяться без каких-либо ограничений. Поощряется распространение информации с этого сайта на любых других ресурсах. Каждый человек имеет право на неограниченный доступ к этим документам! Каждый человек имеет право на знание требований, изложенных в данных нормативно-правовых актах!

  


 

ГОСТ Р 12.4.251-2009

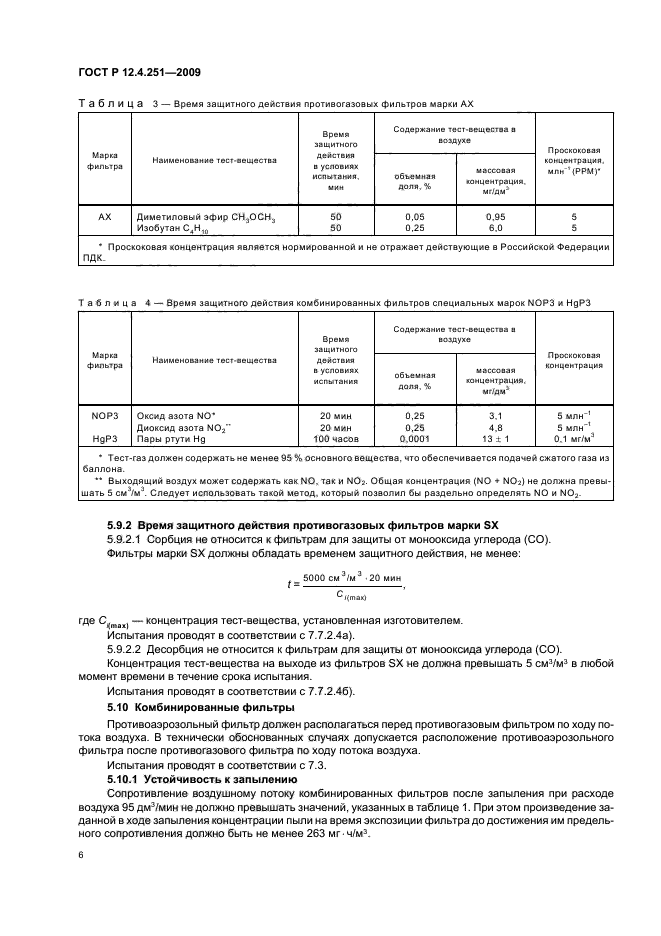
Система стандартов безопасности труда. Средства индивидуальной защиты органов дыхания. Фильтры противогазовые и комбинированные. Общие технические требования. Методы испытаний. Маркировка

Обозначение:ГОСТ Р 12.4.251-2009
Текущий статус документа: отменён
Название документа рус.:Система стандартов безопасности труда. Средства индивидуальной защиты органов дыхания. Фильтры противогазовые и комбинированные. Общие технические требования. Методы испытаний. Маркировка
Название документа англ.:Occupational safety standards system. Respiratory protective devices. Gas filters and combined filters. Requirements. Testing. Marking
Дата актуализации текста:01.12.2013
Дата издания:18.04.2011
Дата введения:30.06.2011
Дата последнего изменения:11.09.2013
Дата окончания срока действия:01.09.2013
Область применения:Настоящий стандарт распространяется на противогазовые и комбинированные фильтры, предназначенные для использования в средствах индивидуальной защиты органов дыхания, и устанавливает общие технические требования, методы испытаний и маркировку.
Стандарт не распространяется на противогазовые и комбинированные фильтры, используемые в следующих специальных средствах индивидуальной защиты органов дыхания:
- пожарные;
- военные;
- медицинские;
- авиационные;
- для подводных работ
Список изменений:№0 от 01.09.2013 (рег. 29.11.2012) «Текстовое изменение; Изменено заглавие»
ГОСТ Р 12.4.251-2009ГОСТ Р 12.4.251-2009ГОСТ Р 12.4.251-2009ГОСТ Р 12.4.251-2009ГОСТ Р 12.4.251-2009ГОСТ Р 12.4.251-2009ГОСТ Р 12.4.251-2009ГОСТ Р 12.4.251-2009ГОСТ Р 12.4.251-2009ГОСТ Р 12.4.251-2009ГОСТ Р 12.4.251-2009ГОСТ Р 12.4.251-2009ГОСТ Р 12.4.251-2009ГОСТ Р 12.4.251-2009ГОСТ Р 12.4.251-2009ГОСТ Р 12.4.251-2009ГОСТ Р 12.4.251-2009ГОСТ Р 12.4.251-2009ГОСТ Р 12.4.251-2009ГОСТ Р 12.4.251-2009
 




ГОСТЫ, СТРОИТЕЛЬНЫЕ и ТЕХНИЧЕСКИЕ НОРМАТИВЫ.
Некоммерческая онлайн система, содержащая все Российские Госты, национальные Стандарты и нормативы.
В Системе содержится более 150000 файлов нормативно-технической документации, действующей на территории РФ.
Система предназначена для широкого круга инженерно-технических специалистов.

Рейтинг@Mail.ru Яндекс цитирования

Copyright © www.gostrf.com, 2008 - 2026