Крупнейшая бесплатная информационно-справочная система онлайн доступа к полному собранию технических нормативно-правовых актов РФ. Огромная база технических нормативов (более 150 тысяч документов) и полное собрание национальных стандартов, аутентичное официальной базе Госстандарта. GOSTRF.com - это более 1 Терабайта бесплатной технической информации для всех пользователей интернета. Все электронные копии представленных здесь документов могут распространяться без каких-либо ограничений. Поощряется распространение информации с этого сайта на любых других ресурсах. Каждый человек имеет право на неограниченный доступ к этим документам! Каждый человек имеет право на знание требований, изложенных в данных нормативно-правовых актах!

  


 

ГОСТ Р ИСО/ТС 22745-20-2009

Системы промышленной автоматизации и их интеграция. Открытые технические словари и их применение к основным данным. Часть 20. Процедуры технического обслуживания открытого технического словаря

Обозначение:ГОСТ Р ИСО/ТС 22745-20-2009
Текущий статус документа: действующий
Название документа рус.:Системы промышленной автоматизации и их интеграция. Открытые технические словари и их применение к основным данным. Часть 20. Процедуры технического обслуживания открытого технического словаря
Название документа англ.:Industrial automation systems and integration. Open technical dictionaries and their application to master data. Part 20. Procedures for the maintenance of an Open Technical Dictionary
Дата актуализации текста:01.12.2013
Дата издания:18.05.2011
Дата введения:01.10.2010
Дата последнего изменения:22.05.2013
Область применения:Настоящий стандарт устанавливает методы обслуживания открытого технического словаря (OTD).
Стандарт применяют к словарям концепций, терминологию которых представляют координирующие организации, которые стандартизируют термины до их представления в организацию, обслуживающую словарь, с целью включения в словарь концепций.
Настоящий стандарт распространяется на:
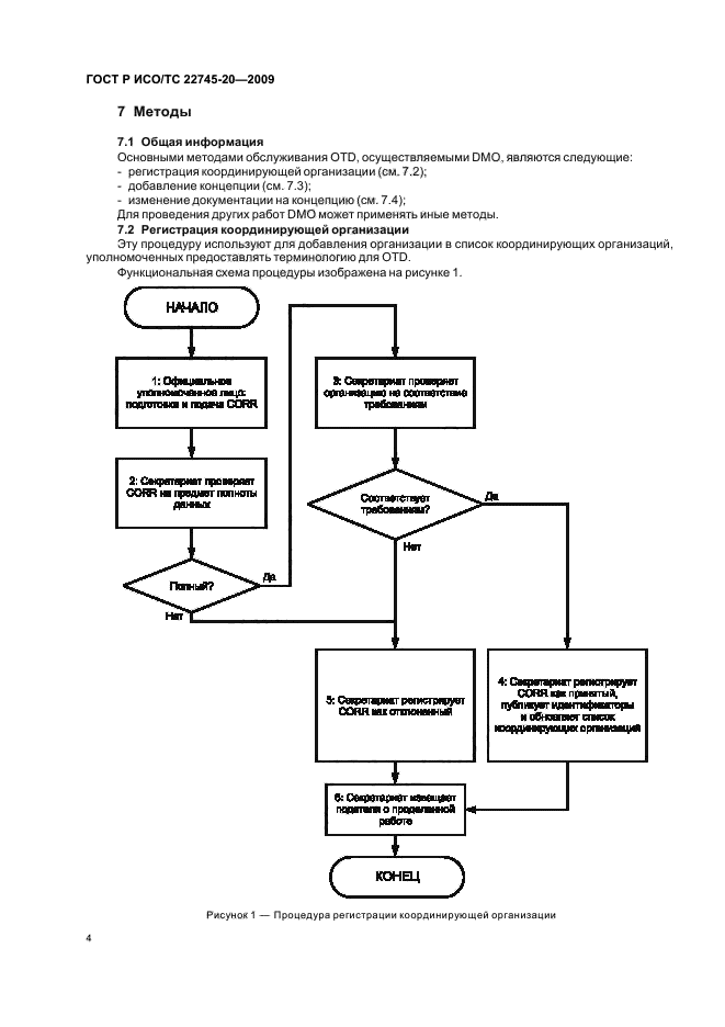
- структуру организации, обеспечивающей ведение и обслуживание OTD;
- правила выпуска OTD;
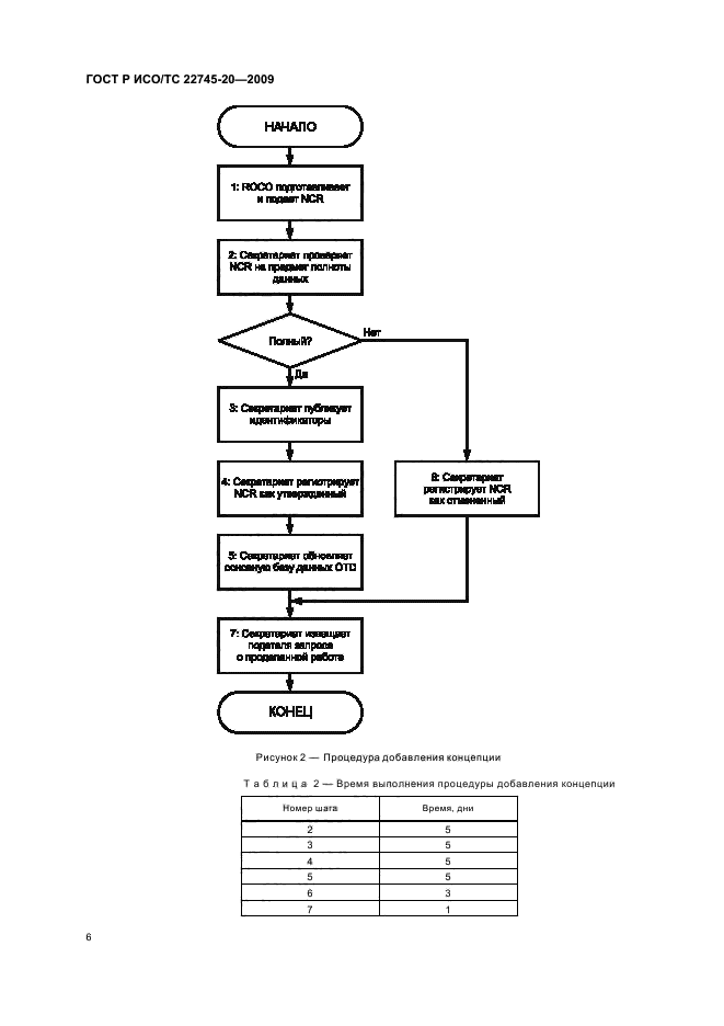
- процедуру добавления концепции в OTD;
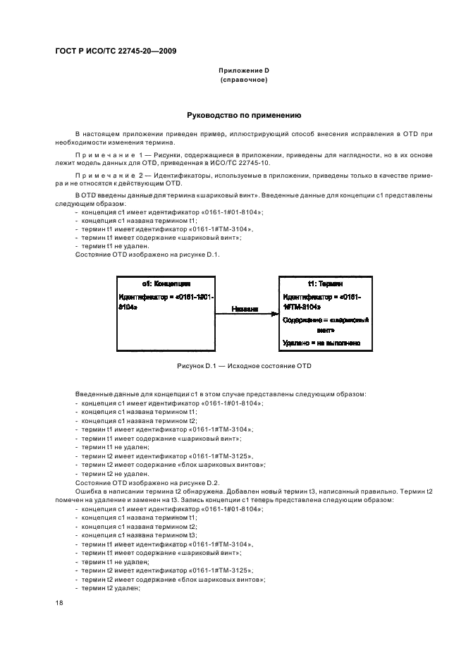
- процедуру изменения документации на концепцию в рамках OTD.
Настоящий стандарт не распространяется на:
- процедуру стандартизации терминов, используемых в словаре концепций
ГОСТ Р ИСО/ТС 22745-20-2009ГОСТ Р ИСО/ТС 22745-20-2009ГОСТ Р ИСО/ТС 22745-20-2009ГОСТ Р ИСО/ТС 22745-20-2009ГОСТ Р ИСО/ТС 22745-20-2009ГОСТ Р ИСО/ТС 22745-20-2009ГОСТ Р ИСО/ТС 22745-20-2009ГОСТ Р ИСО/ТС 22745-20-2009ГОСТ Р ИСО/ТС 22745-20-2009ГОСТ Р ИСО/ТС 22745-20-2009ГОСТ Р ИСО/ТС 22745-20-2009ГОСТ Р ИСО/ТС 22745-20-2009ГОСТ Р ИСО/ТС 22745-20-2009ГОСТ Р ИСО/ТС 22745-20-2009ГОСТ Р ИСО/ТС 22745-20-2009ГОСТ Р ИСО/ТС 22745-20-2009ГОСТ Р ИСО/ТС 22745-20-2009ГОСТ Р ИСО/ТС 22745-20-2009ГОСТ Р ИСО/ТС 22745-20-2009ГОСТ Р ИСО/ТС 22745-20-2009ГОСТ Р ИСО/ТС 22745-20-2009ГОСТ Р ИСО/ТС 22745-20-2009ГОСТ Р ИСО/ТС 22745-20-2009ГОСТ Р ИСО/ТС 22745-20-2009ГОСТ Р ИСО/ТС 22745-20-2009ГОСТ Р ИСО/ТС 22745-20-2009ГОСТ Р ИСО/ТС 22745-20-2009ГОСТ Р ИСО/ТС 22745-20-2009
 




ГОСТЫ, СТРОИТЕЛЬНЫЕ и ТЕХНИЧЕСКИЕ НОРМАТИВЫ.
Некоммерческая онлайн система, содержащая все Российские Госты, национальные Стандарты и нормативы.
В Системе содержится более 150000 файлов нормативно-технической документации, действующей на территории РФ.
Система предназначена для широкого круга инженерно-технических специалистов.

Рейтинг@Mail.ru Яндекс цитирования

Copyright © www.gostrf.com, 2008 - 2026