Крупнейшая бесплатная информационно-справочная система онлайн доступа к полному собранию технических нормативно-правовых актов РФ. Огромная база технических нормативов (более 150 тысяч документов) и полное собрание национальных стандартов, аутентичное официальной базе Госстандарта. GOSTRF.com - это более 1 Терабайта бесплатной технической информации для всех пользователей интернета. Все электронные копии представленных здесь документов могут распространяться без каких-либо ограничений. Поощряется распространение информации с этого сайта на любых других ресурсах. Каждый человек имеет право на неограниченный доступ к этим документам! Каждый человек имеет право на знание требований, изложенных в данных нормативно-правовых актах!

  


 

ГОСТ Р ИСО/МЭК 15457-2-2010

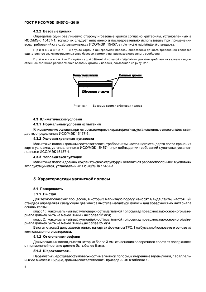
Карты идентификационные. Карты тонкие гибкие. Часть 2. Способы магнитной записи

Обозначение:ГОСТ Р ИСО/МЭК 15457-2-2010
Текущий статус документа: действующий
Название документа рус.:Карты идентификационные. Карты тонкие гибкие. Часть 2. Способы магнитной записи
Название документа англ.:Identification cards. Thin flexible cards. Part 2. Magnetic recording techniques
Дата актуализации текста:01.12.2013
Дата издания:06.04.2011
Дата введения:01.07.2011
Дата последнего изменения:22.05.2013
Область применения:Настоящий стандарт распространяется на тонкие гибкие карты, используемые для автоматизации средств управления доступом к товарам или услугам, таким как поездки на общественном транспорте, проезд по платным автомобильным дорогам, пользование автостоянками, предварительно оплачиваемые услуги.
Для указанных случаев применения данные записывают и/или считывают с помощью устройств, использующих различные технологии: магнитную полосу, оптическое считывание (распознавание оптических символов), штриховое кодирование и т.д.
ГОСТ Р ИСО/МЭК 15457-2-2010ГОСТ Р ИСО/МЭК 15457-2-2010ГОСТ Р ИСО/МЭК 15457-2-2010ГОСТ Р ИСО/МЭК 15457-2-2010ГОСТ Р ИСО/МЭК 15457-2-2010ГОСТ Р ИСО/МЭК 15457-2-2010ГОСТ Р ИСО/МЭК 15457-2-2010ГОСТ Р ИСО/МЭК 15457-2-2010ГОСТ Р ИСО/МЭК 15457-2-2010ГОСТ Р ИСО/МЭК 15457-2-2010ГОСТ Р ИСО/МЭК 15457-2-2010ГОСТ Р ИСО/МЭК 15457-2-2010ГОСТ Р ИСО/МЭК 15457-2-2010ГОСТ Р ИСО/МЭК 15457-2-2010ГОСТ Р ИСО/МЭК 15457-2-2010ГОСТ Р ИСО/МЭК 15457-2-2010ГОСТ Р ИСО/МЭК 15457-2-2010ГОСТ Р ИСО/МЭК 15457-2-2010ГОСТ Р ИСО/МЭК 15457-2-2010ГОСТ Р ИСО/МЭК 15457-2-2010
 




ГОСТЫ, СТРОИТЕЛЬНЫЕ и ТЕХНИЧЕСКИЕ НОРМАТИВЫ.
Некоммерческая онлайн система, содержащая все Российские Госты, национальные Стандарты и нормативы.
В Системе содержится более 150000 файлов нормативно-технической документации, действующей на территории РФ.
Система предназначена для широкого круга инженерно-технических специалистов.

Рейтинг@Mail.ru Яндекс цитирования

Copyright © www.gostrf.com, 2008 - 2026