Крупнейшая бесплатная информационно-справочная система онлайн доступа к полному собранию технических нормативно-правовых актов РФ. Огромная база технических нормативов (более 150 тысяч документов) и полное собрание национальных стандартов, аутентичное официальной базе Госстандарта. GOSTRF.com - это более 1 Терабайта бесплатной технической информации для всех пользователей интернета. Все электронные копии представленных здесь документов могут распространяться без каких-либо ограничений. Поощряется распространение информации с этого сайта на любых других ресурсах. Каждый человек имеет право на неограниченный доступ к этим документам! Каждый человек имеет право на знание требований, изложенных в данных нормативно-правовых актах!

  


 

ГОСТ 6651-2009

Государственная система обеспечения единства измерений. Термопреобразователи сопротивления из платины, меди и никеля. Общие технические требования и методы испытаний

Обозначение:ГОСТ 6651-2009
Текущий статус документа: действующий
Название документа рус.:Государственная система обеспечения единства измерений. Термопреобразователи сопротивления из платины, меди и никеля. Общие технические требования и методы испытаний
Название документа англ.:State system for ensuring the uniformity of measurements. Platinum, copper, and nickel resistance resistive temperature transducers. General requirements and test methods
Дата актуализации текста:01.12.2013
Дата издания:22.04.2011
Дата введения:01.01.2011
Дата последнего изменения:22.05.2013
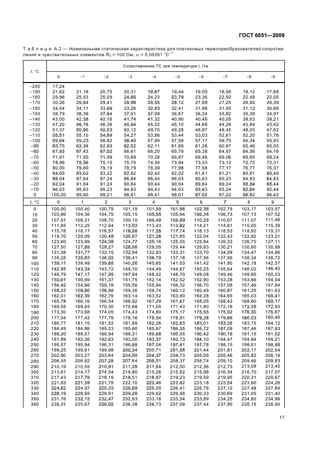
Область применения:Настоящий стандарт устанавливает общие технические требования к техническим термопреобразователям сопротивления, чувствительные элементы которых изготовлены из платины, меди и никеля, и методы их испытаний. Требования к классу допуска и стабильности распространяются также на чувствительные элементы термопреобразователей сопротивления.
Стандарт распространяется на термопреобразователи сопротивления, предназначенные для измерения температуры от минус 200 °С до плюс 850 °С или в части данного диапазона.
Значения температуры в настоящем стандарте соответствуют Международной температурной шкале 1990 г. МТШ-90 [1]. Настоящий стандарт соответствует международному стандарту МЭК 60751 [2] в части определения зависимости сопротивления от температуры и допусков на платиновые чувствительные элементы и термопреобразователи сопротивления с температурным коэффициентом сопротивления = 0,00385 °С-1
ГОСТ 6651-2009ГОСТ 6651-2009ГОСТ 6651-2009ГОСТ 6651-2009ГОСТ 6651-2009ГОСТ 6651-2009ГОСТ 6651-2009ГОСТ 6651-2009ГОСТ 6651-2009ГОСТ 6651-2009ГОСТ 6651-2009ГОСТ 6651-2009ГОСТ 6651-2009ГОСТ 6651-2009ГОСТ 6651-2009ГОСТ 6651-2009ГОСТ 6651-2009ГОСТ 6651-2009ГОСТ 6651-2009ГОСТ 6651-2009ГОСТ 6651-2009ГОСТ 6651-2009ГОСТ 6651-2009ГОСТ 6651-2009ГОСТ 6651-2009ГОСТ 6651-2009ГОСТ 6651-2009ГОСТ 6651-2009ГОСТ 6651-2009ГОСТ 6651-2009ГОСТ 6651-2009ГОСТ 6651-2009
 




ГОСТЫ, СТРОИТЕЛЬНЫЕ и ТЕХНИЧЕСКИЕ НОРМАТИВЫ.
Некоммерческая онлайн система, содержащая все Российские Госты, национальные Стандарты и нормативы.
В Системе содержится более 150000 файлов нормативно-технической документации, действующей на территории РФ.
Система предназначена для широкого круга инженерно-технических специалистов.

Рейтинг@Mail.ru Яндекс цитирования

Copyright © www.gostrf.com, 2008 - 2026