Крупнейшая бесплатная информационно-справочная система онлайн доступа к полному собранию технических нормативно-правовых актов РФ. Огромная база технических нормативов (более 150 тысяч документов) и полное собрание национальных стандартов, аутентичное официальной базе Госстандарта. GOSTRF.com - это более 1 Терабайта бесплатной технической информации для всех пользователей интернета. Все электронные копии представленных здесь документов могут распространяться без каких-либо ограничений. Поощряется распространение информации с этого сайта на любых других ресурсах. Каждый человек имеет право на неограниченный доступ к этим документам! Каждый человек имеет право на знание требований, изложенных в данных нормативно-правовых актах!

  


 

ГОСТ Р 53633.0-2009

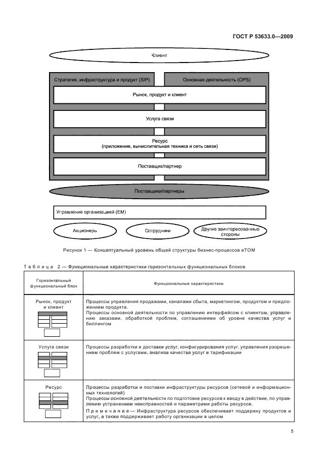
Информационные технологии. Сеть управления электросвязью. Расширенная схема деятельности организации связи (eТОМ). Общая структура бизнес-процессов

Обозначение:ГОСТ Р 53633.0-2009
Текущий статус документа: действующий
Название документа рус.:Информационные технологии. Сеть управления электросвязью. Расширенная схема деятельности организации связи (eТОМ). Общая структура бизнес-процессов
Название документа англ.:Information technologies. Telecommunications management network. Enhanced telecom operations Map (eTOM). The business process framework
Дата актуализации текста:01.12.2013
Дата издания:24.03.2011
Дата введения:01.12.2010
Дата последнего изменения:22.08.2013
Область применения:Настоящий стандарт устанавливает эталонную общую структуру бизнес-процессов для организаций связи и является базовым стандартом группы стандартов, определяющих “Расширенную схему деятельности организации связи (eTOM)”.
Настоящий стандарт распространяется на все виды производственных процессов организаций связи, независимо от того, какие технологии электросвязи организации применяют и какие инфокоммуникационные услуги они оказывают клиентам.
Настоящий стандарт предназначен для применения организациями связи, производителями систем управления и систем автоматизации производственных процессов, системными интеграторами и производителями телекоммуникационного оборудования.
Системные интеграторы могут применять настоящий стандарт при проектировании комплексных систем автоматизации производственных процессов с использованием систем и компонентов разных производителей.
Требования настоящего стандарта не распространяются на действующие стандарты, которые были приняты до введения его в действие
ГОСТ Р 53633.0-2009ГОСТ Р 53633.0-2009ГОСТ Р 53633.0-2009ГОСТ Р 53633.0-2009ГОСТ Р 53633.0-2009ГОСТ Р 53633.0-2009ГОСТ Р 53633.0-2009ГОСТ Р 53633.0-2009ГОСТ Р 53633.0-2009ГОСТ Р 53633.0-2009ГОСТ Р 53633.0-2009ГОСТ Р 53633.0-2009ГОСТ Р 53633.0-2009ГОСТ Р 53633.0-2009ГОСТ Р 53633.0-2009ГОСТ Р 53633.0-2009ГОСТ Р 53633.0-2009ГОСТ Р 53633.0-2009ГОСТ Р 53633.0-2009ГОСТ Р 53633.0-2009ГОСТ Р 53633.0-2009ГОСТ Р 53633.0-2009ГОСТ Р 53633.0-2009ГОСТ Р 53633.0-2009
 




ГОСТЫ, СТРОИТЕЛЬНЫЕ и ТЕХНИЧЕСКИЕ НОРМАТИВЫ.
Некоммерческая онлайн система, содержащая все Российские Госты, национальные Стандарты и нормативы.
В Системе содержится более 150000 файлов нормативно-технической документации, действующей на территории РФ.
Система предназначена для широкого круга инженерно-технических специалистов.

Рейтинг@Mail.ru Яндекс цитирования

Copyright © www.gostrf.com, 2008 - 2026