Крупнейшая бесплатная информационно-справочная система онлайн доступа к полному собранию технических нормативно-правовых актов РФ. Огромная база технических нормативов (более 150 тысяч документов) и полное собрание национальных стандартов, аутентичное официальной базе Госстандарта. GOSTRF.com - это более 1 Терабайта бесплатной технической информации для всех пользователей интернета. Все электронные копии представленных здесь документов могут распространяться без каких-либо ограничений. Поощряется распространение информации с этого сайта на любых других ресурсах. Каждый человек имеет право на неограниченный доступ к этим документам! Каждый человек имеет право на знание требований, изложенных в данных нормативно-правовых актах!

  


 

ГОСТ Р 54300-2011

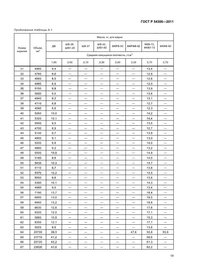
Изделия огнеупорные для кладки воздухонагревателей и воздухопроводов горячего дутья доменных печей. Технические условия

Обозначение:ГОСТ Р 54300-2011
Текущий статус документа: действующий
Название документа рус.:Изделия огнеупорные для кладки воздухонагревателей и воздухопроводов горячего дутья доменных печей. Технические условия
Название документа англ.:Refractory products for laying of stoves and hot blast mains of blast furnaces. Specifications
Дата актуализации текста:01.12.2013
Дата издания:05.05.2011
Дата введения:30.06.2011
Дата последнего изменения:22.05.2013
Область применения:Настоящий стандарт распространяется на огнеупорные изделия для кладки воздухонагревателей, воздухопроводов горячего дутья и фурменных зон доменных печей
ГОСТ Р 54300-2011ГОСТ Р 54300-2011ГОСТ Р 54300-2011ГОСТ Р 54300-2011ГОСТ Р 54300-2011ГОСТ Р 54300-2011ГОСТ Р 54300-2011ГОСТ Р 54300-2011ГОСТ Р 54300-2011ГОСТ Р 54300-2011ГОСТ Р 54300-2011ГОСТ Р 54300-2011ГОСТ Р 54300-2011ГОСТ Р 54300-2011ГОСТ Р 54300-2011ГОСТ Р 54300-2011ГОСТ Р 54300-2011ГОСТ Р 54300-2011ГОСТ Р 54300-2011ГОСТ Р 54300-2011ГОСТ Р 54300-2011ГОСТ Р 54300-2011ГОСТ Р 54300-2011ГОСТ Р 54300-2011
 




ГОСТЫ, СТРОИТЕЛЬНЫЕ и ТЕХНИЧЕСКИЕ НОРМАТИВЫ.
Некоммерческая онлайн система, содержащая все Российские Госты, национальные Стандарты и нормативы.
В Системе содержится более 150000 файлов нормативно-технической документации, действующей на территории РФ.
Система предназначена для широкого круга инженерно-технических специалистов.

Рейтинг@Mail.ru Яндекс цитирования

Copyright © www.gostrf.com, 2008 - 2026