Крупнейшая бесплатная информационно-справочная система онлайн доступа к полному собранию технических нормативно-правовых актов РФ. Огромная база технических нормативов (более 150 тысяч документов) и полное собрание национальных стандартов, аутентичное официальной базе Госстандарта. GOSTRF.com - это более 1 Терабайта бесплатной технической информации для всех пользователей интернета. Все электронные копии представленных здесь документов могут распространяться без каких-либо ограничений. Поощряется распространение информации с этого сайта на любых других ресурсах. Каждый человек имеет право на неограниченный доступ к этим документам! Каждый человек имеет право на знание требований, изложенных в данных нормативно-правовых актах!

  


 

ГОСТ Р МЭК 61850-6-2009

Сети и системы связи на подстанциях. Часть 6. Язык описания конфигурации для связи между интеллектуальными электронными устройствами на электрических подстанциях

Обозначение:ГОСТ Р МЭК 61850-6-2009
Текущий статус документа: действующий
Название документа рус.:Сети и системы связи на подстанциях. Часть 6. Язык описания конфигурации для связи между интеллектуальными электронными устройствами на электрических подстанциях
Название документа англ.:Communication networks and systems in substations. Part 6. Configuration description language for communication in electrical substations related to IEDs
Дата актуализации текста:01.12.2013
Дата издания:27.05.2011
Дата введения:01.01.2011
Дата последнего изменения:22.05.2013
Область применения:Настоящий стандарт из серии стандартов МЭК 61850 определяет формат файлов описания конфигурации специальных специфичных для систем связи интеллектуальных электронных устройств (IED-устройств), а также параметров IED-устройств, конфигурации систем связи, структур (функций) распределительного устройства и отношений между ними. Основное назначение этого формата - совместимый обмен описаниями возможностей IED-устройств и SA-системы между средствами программирования IED-устройств и средствами программирования систем различных изготовителей.
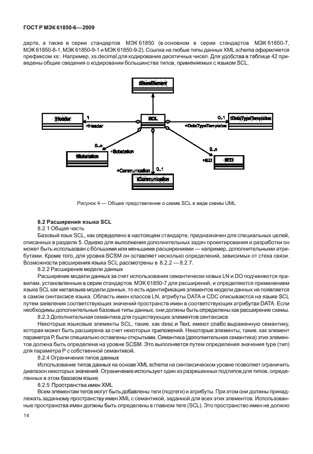
Определяемый язык называется языком описания конфигурации подстанции (SGL). IED-устройства и модель системы связи на языке SGL соответствуют МЭК 61850-5 и серии стандартов МЭК 61850-7. В соответствующих частях серии стандартов МЭК 61850 могут потребоваться определяемые на уровне SCSM расширения или правила использования.
Язык конфигурирования создан на основе расширенного языка разметки XML версии 1.0.
Настоящий стандарт не определяет индивидуальные реализации или продукты средствами языка, а также не налагает ограничений на реализацию сущностей и интерфейсов в пределах вычислительной системы. Настоящий стандарт не определяет формат загрузки данных конфигурации в IED-устройства, хотя он может быть использован для части данных конфигурации
ГОСТ Р МЭК 61850-6-2009ГОСТ Р МЭК 61850-6-2009ГОСТ Р МЭК 61850-6-2009ГОСТ Р МЭК 61850-6-2009ГОСТ Р МЭК 61850-6-2009ГОСТ Р МЭК 61850-6-2009ГОСТ Р МЭК 61850-6-2009ГОСТ Р МЭК 61850-6-2009ГОСТ Р МЭК 61850-6-2009ГОСТ Р МЭК 61850-6-2009ГОСТ Р МЭК 61850-6-2009ГОСТ Р МЭК 61850-6-2009ГОСТ Р МЭК 61850-6-2009ГОСТ Р МЭК 61850-6-2009ГОСТ Р МЭК 61850-6-2009ГОСТ Р МЭК 61850-6-2009ГОСТ Р МЭК 61850-6-2009ГОСТ Р МЭК 61850-6-2009ГОСТ Р МЭК 61850-6-2009ГОСТ Р МЭК 61850-6-2009ГОСТ Р МЭК 61850-6-2009ГОСТ Р МЭК 61850-6-2009ГОСТ Р МЭК 61850-6-2009ГОСТ Р МЭК 61850-6-2009ГОСТ Р МЭК 61850-6-2009ГОСТ Р МЭК 61850-6-2009ГОСТ Р МЭК 61850-6-2009ГОСТ Р МЭК 61850-6-2009ГОСТ Р МЭК 61850-6-2009ГОСТ Р МЭК 61850-6-2009ГОСТ Р МЭК 61850-6-2009ГОСТ Р МЭК 61850-6-2009ГОСТ Р МЭК 61850-6-2009ГОСТ Р МЭК 61850-6-2009ГОСТ Р МЭК 61850-6-2009ГОСТ Р МЭК 61850-6-2009ГОСТ Р МЭК 61850-6-2009ГОСТ Р МЭК 61850-6-2009ГОСТ Р МЭК 61850-6-2009ГОСТ Р МЭК 61850-6-2009ГОСТ Р МЭК 61850-6-2009ГОСТ Р МЭК 61850-6-2009ГОСТ Р МЭК 61850-6-2009ГОСТ Р МЭК 61850-6-2009ГОСТ Р МЭК 61850-6-2009ГОСТ Р МЭК 61850-6-2009ГОСТ Р МЭК 61850-6-2009ГОСТ Р МЭК 61850-6-2009ГОСТ Р МЭК 61850-6-2009ГОСТ Р МЭК 61850-6-2009ГОСТ Р МЭК 61850-6-2009ГОСТ Р МЭК 61850-6-2009ГОСТ Р МЭК 61850-6-2009ГОСТ Р МЭК 61850-6-2009ГОСТ Р МЭК 61850-6-2009ГОСТ Р МЭК 61850-6-2009ГОСТ Р МЭК 61850-6-2009ГОСТ Р МЭК 61850-6-2009ГОСТ Р МЭК 61850-6-2009ГОСТ Р МЭК 61850-6-2009ГОСТ Р МЭК 61850-6-2009ГОСТ Р МЭК 61850-6-2009ГОСТ Р МЭК 61850-6-2009ГОСТ Р МЭК 61850-6-2009ГОСТ Р МЭК 61850-6-2009ГОСТ Р МЭК 61850-6-2009ГОСТ Р МЭК 61850-6-2009ГОСТ Р МЭК 61850-6-2009ГОСТ Р МЭК 61850-6-2009ГОСТ Р МЭК 61850-6-2009ГОСТ Р МЭК 61850-6-2009ГОСТ Р МЭК 61850-6-2009ГОСТ Р МЭК 61850-6-2009ГОСТ Р МЭК 61850-6-2009ГОСТ Р МЭК 61850-6-2009ГОСТ Р МЭК 61850-6-2009ГОСТ Р МЭК 61850-6-2009ГОСТ Р МЭК 61850-6-2009ГОСТ Р МЭК 61850-6-2009ГОСТ Р МЭК 61850-6-2009ГОСТ Р МЭК 61850-6-2009ГОСТ Р МЭК 61850-6-2009ГОСТ Р МЭК 61850-6-2009ГОСТ Р МЭК 61850-6-2009ГОСТ Р МЭК 61850-6-2009ГОСТ Р МЭК 61850-6-2009ГОСТ Р МЭК 61850-6-2009ГОСТ Р МЭК 61850-6-2009ГОСТ Р МЭК 61850-6-2009ГОСТ Р МЭК 61850-6-2009ГОСТ Р МЭК 61850-6-2009ГОСТ Р МЭК 61850-6-2009ГОСТ Р МЭК 61850-6-2009ГОСТ Р МЭК 61850-6-2009ГОСТ Р МЭК 61850-6-2009ГОСТ Р МЭК 61850-6-2009ГОСТ Р МЭК 61850-6-2009ГОСТ Р МЭК 61850-6-2009ГОСТ Р МЭК 61850-6-2009ГОСТ Р МЭК 61850-6-2009ГОСТ Р МЭК 61850-6-2009ГОСТ Р МЭК 61850-6-2009ГОСТ Р МЭК 61850-6-2009ГОСТ Р МЭК 61850-6-2009ГОСТ Р МЭК 61850-6-2009ГОСТ Р МЭК 61850-6-2009ГОСТ Р МЭК 61850-6-2009ГОСТ Р МЭК 61850-6-2009ГОСТ Р МЭК 61850-6-2009ГОСТ Р МЭК 61850-6-2009ГОСТ Р МЭК 61850-6-2009ГОСТ Р МЭК 61850-6-2009ГОСТ Р МЭК 61850-6-2009ГОСТ Р МЭК 61850-6-2009ГОСТ Р МЭК 61850-6-2009ГОСТ Р МЭК 61850-6-2009ГОСТ Р МЭК 61850-6-2009ГОСТ Р МЭК 61850-6-2009ГОСТ Р МЭК 61850-6-2009ГОСТ Р МЭК 61850-6-2009ГОСТ Р МЭК 61850-6-2009ГОСТ Р МЭК 61850-6-2009ГОСТ Р МЭК 61850-6-2009ГОСТ Р МЭК 61850-6-2009ГОСТ Р МЭК 61850-6-2009ГОСТ Р МЭК 61850-6-2009ГОСТ Р МЭК 61850-6-2009ГОСТ Р МЭК 61850-6-2009ГОСТ Р МЭК 61850-6-2009ГОСТ Р МЭК 61850-6-2009ГОСТ Р МЭК 61850-6-2009ГОСТ Р МЭК 61850-6-2009ГОСТ Р МЭК 61850-6-2009ГОСТ Р МЭК 61850-6-2009ГОСТ Р МЭК 61850-6-2009ГОСТ Р МЭК 61850-6-2009ГОСТ Р МЭК 61850-6-2009ГОСТ Р МЭК 61850-6-2009ГОСТ Р МЭК 61850-6-2009ГОСТ Р МЭК 61850-6-2009ГОСТ Р МЭК 61850-6-2009ГОСТ Р МЭК 61850-6-2009ГОСТ Р МЭК 61850-6-2009ГОСТ Р МЭК 61850-6-2009ГОСТ Р МЭК 61850-6-2009ГОСТ Р МЭК 61850-6-2009ГОСТ Р МЭК 61850-6-2009
 




ГОСТЫ, СТРОИТЕЛЬНЫЕ и ТЕХНИЧЕСКИЕ НОРМАТИВЫ.
Некоммерческая онлайн система, содержащая все Российские Госты, национальные Стандарты и нормативы.
В Системе содержится более 150000 файлов нормативно-технической документации, действующей на территории РФ.
Система предназначена для широкого круга инженерно-технических специалистов.

Рейтинг@Mail.ru Яндекс цитирования

Copyright © www.gostrf.com, 2008 - 2026